00193368-02 - 第21页
SIPLACE GEM for S25HM, S27HM, HS50, HS60 SW Version GEM 503.02 HOST Inter fac e Manual ©Siemens AG, all rights reser ved page 21 of 243 3.1.2 State Transiti ons The f ollowing transitions can oc cur. T rans itions of the…

SIPLACE GEM for S25HM, S27HM, HS50 , HS60 SW Version GEM 503.02
HOST Interface Manual
Page 20 of 243 ©Siemens AG, all rights reserved
3 Operating Characteristics
This section describes the working characteristics of the SIPLACE. It is divided into
sections, and each of these sections describe a particular aspect of the SIPLACE's
operating characteristics.
3.1 Communications States
The SIPLACE represents the current state of its SECS link using a Communication Finite
State Machine diagram. The purpose is to make clear how this link is initiated and
terminated.
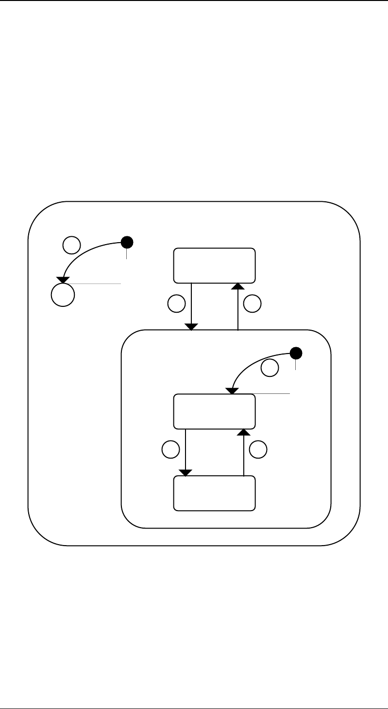
3.1.1 Communications Finite State Description
The diagram on the following page explains the Communications Finite State Machine
that the SIPLACE maintains.
Communicating
Disabled
Not
Communicating
Enable
C
1
23
4
56
Communication State Diagram

SIPLACE GEM for S25HM, S27HM, HS50, HS60 SW Version GEM 503.02
HOST Interface Manual
©Siemens AG, all rights reserved page 21 of 243
3.1.2 State Transitions
The following transitions can occur. Transitions of the Communication Finite State
Machine diagram do not cause the SIPLACE to signal any Collection Event ID (CEID), nor
to send Event Reports to the Host.
# From Trigger To Description
1 Unknown Power-Up Conditional Equipment will initialize
itself to either the
Disabled or Enabled
state, depending on the
configuration of the EC
INITCOMMSTATE (VID
1002002).
2 Disabled Button
„Connect“ is
pressed in the
„GEM-Status“
screen
Enabled Equipment will attempt to
establish
communications with the
Host. The SIPLACE will
periodically send a
Connect Request at an
interval dictated by the
EC
ESTABLISHCOMMUNIC
ATIONSTIMER (VID
1002003).
3 Enabled Button
„Disconnect“ is
pressed in the
„GEM-Status“
screen
Disabled Communications are
abruptly terminated. Any
outstanding messages
queued for send are
discarded. The
Equipment will not
respond to a Host-
initiated ENQ.
4 Disabled or
Power-Up
Request has
been made for
the SIPLACE to
start
communicating.
Not
Communicating
Equipment immediately
attempts to establish
communications with the
Host. The SIPLACE will
periodically send a
Connect Request
message at an interval
dictated by the EC
ESTABLISH-
COMMUNICATIONSTIM
ER (VID 1002003).
5Not
Communicatin
g
Successful
completion of
Connect
Request
transaction.
Communicating The Host / Equipment
link is „up“. Normal
SECS transactions can
occur.
6 Communicatin
g
A
communications
failure has
occurred.
Not
Communicating
Equipment immediately
attempts to establish
communications with the
Host. The SIPLACE will
periodically send a
Connect Request
message at an interval

SIPLACE GEM for S25HM, S27HM, HS50 , HS60 SW Version GEM 503.02
HOST Interface Manual
Page 22 of 243 ©Siemens AG, all rights reserved
# From Trigger To Description
dictated by the EC
ESTABLISH-
COMMUNICATIONSTIM
ER (VID 1002003).