FX-2_使用说明书 - 第546页
第 8 章 生产 8-6-2 确认贴片 此功能在生产开始之前显示贴片点列表,通过跟踪确认贴片点上是否已贴上元件。 确认贴片操作的流程示图如下。 STOPキー押下 START いいえ 搭載追尾ダイアログ 基板がクランプ されているか? はい いいえ 搬送路上に基板がある か? 再クランプ確認 ダイアログ はい 基板再クランプ STARTキー押下 BOCマーク認識 搭載追尾する点の 搭載追尾 STOP押下 基板ロード確認 ダイアログ 基板ロ…

第 8 章 生产
8-6-1-1 执行生产程序检查
按下[检查]按钮后,执行生产程序的除忽略项目以外的项目检查,在[检查结果]中显示结
果。同时,在[生产的可行性]项目中显示能否实施生产。
执行生产程序检查时,可以按顺序(输入顺序、优化顺序)进行检查。
运行
结果内容
显示内容
检查前 未决定
检查后
有错误 错误
有警告 警告゙
如变更条件则可以生产 变更条件
无错误、警告 OK
8-6-1-2 详细错误对话框
在执行生产程序检查的过程中,检测出错误 (或者警告)时,[错误详细]按钮有效。按下此
按钮后,将逐一显示错误或者警告的详细信息。
图
8-6-2
详细错误对话框
按[上一次]或者[下一次],可显示上一个或者下一个错误。
按[正确],关闭[详细错误]对话框。
8-126

第 8 章 生产
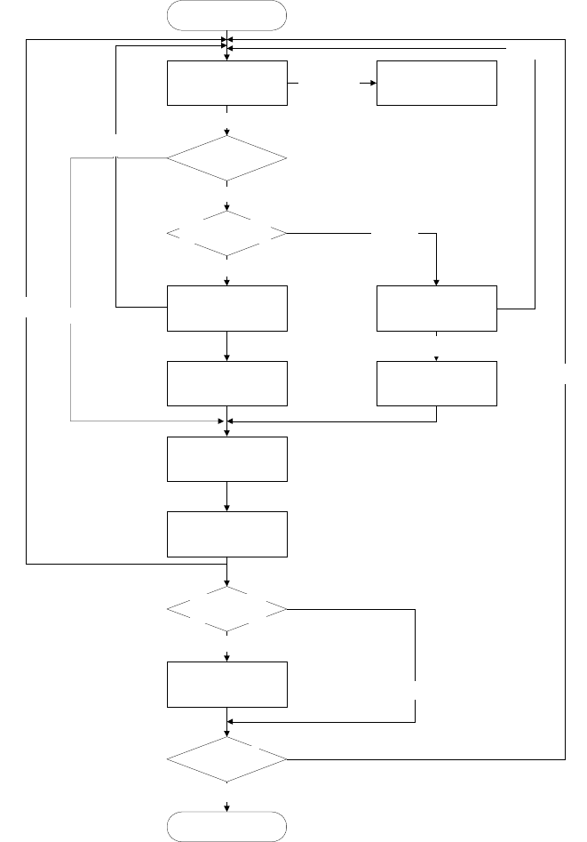
8-6-2 确认贴片
此功能在生产开始之前显示贴片点列表,通过跟踪确认贴片点上是否已贴上元件。
确认贴片操作的流程示图如下。
STOPキー押下
START
いいえ
搭載追尾ダイアログ
基板がクランプ
されているか?
はい
いいえ
搬送路上に基板がある
か?
再クランプ確認
ダイアログ
はい
基板再クランプ
STARTキー押下
BOCマーク認識
搭載追尾する点の
搭載追尾
STOP押下
基板ロード確認
ダイアログ
基板ロード
生産アイドル状態STOPキー押下
いいえ
STARTキー押下
STOPキー押下
追尾後、
搭載するしないの
設定をする
搭載する・しない
の設定
はい
いいえ
追尾終了?
END
はい
图
8-6-3
执行贴片跟踪流程图
跟踪贴片对话框
按 STOP 开关
按
STOP
开关
生产空运行状态
按 START 开关
按 STOP 开关
基板被钳夹?
否
否
传送通道上有基板?
是
是
按 STOP 开关
重夹确认对话框
基板装载对话框
按 START
开关
重夹基板 基板装载
否
BOC 标记识别
贴片跟踪点的
贴片跟踪
跟踪后,进行不
贴片的设定
是
否
设定是否进行
贴片
结束跟踪?
是
8-127

第 8 章 生产
8-6-2-1 跟踪贴片确认对话框
按贴片编号顺序显示贴片元件的信息。
可以指定对各贴片点是否执行贴片及跟踪。
同时,可在贴片点上做标记。
图
8-6-4
跟踪贴片对话框
基本操作
1. 按下<START>开关后,搬入基板。
按下<START>开关后设备开始运转。按下开关前,请确认设备运转不会对设备
附近的人造成危害。
按<START>开关前,请确认没有安装、或放置会妨碍设备内部各项运行的物体
(调整工具等)。
另外,即使按下<STOP>
开关中断设备当前的运行,但贴片确认尚未终止,设
备仍会继续运行。
即使在中断跟踪时,为防止发生人身伤害,在设备运行中切勿把手伸入设备
内部,脸和头也不要靠近设备。
2. 在传送轨道上有基板时,将重夹基板。基板已被夹紧时,则不再搬入、重夹。
3. 夹紧基板后,如果指定标记,则将进行标记识别。
注意
8-128