CX-1_使用说明书 - 第256页
第 1 部 基本篇 第 2 章 生产 2-12-1-3 错误详情 进行生产程序的检查后,若生产程序中有错误 或警告,则可以选择“详细错误”按钮。按此 按钮,将逐件显示错误或警告的详细信息。 图 2-12-1-3-1 错误详情 ¾ “上一次” :显示上一条错误。 ¾ “下一次” :显示下一条错误。 ¾ “正确” :关闭错误详情对话框。 2-155

第 1 部 基本篇 第 2 章 生产
2-12-1-1 检查项目
在此显示检查项目的信息。
图 2-12-1-1-1 检查项目
No. 项目 内容□
1 No. 显示进行检查的顺序。
2 检查项目 显示检查项目的大致内容。
3 检查结果 显示检查的结果。
4 忽略 设定略过检查的项目。
2-12-1-2 执行生产程序检查
按下“进行检查”按钮,由生产程序对省略项目以外的项目进行检查,把结果反映在检查结
果中。
然后,画面上显示可否执行生产。
动作 结果内容 显示内容
实行检查前 待定
有错误 错误
有警告 警告
如果改变条件能够生产 改变条件
实行检查后
无错误、警告 OK
此外,可对生产程序的每一序列(输入顺序、优化顺序)进行检查。
2-154

第 1 部 基本篇 第 2 章 生产
2-12-1-3 错误详情
进行生产程序的检查后,若生产程序中有错误或警告,则可以选择“详细错误”按钮。按此
按钮,将逐件显示错误或警告的详细信息。
图 2-12-1-3-1 错误详情
¾ “上一次” :显示上一条错误。
¾ “下一次” :显示下一条错误。
¾ “正确” :关闭错误详情对话框。
2-155

第 1 部 基本篇 第 2 章 生产
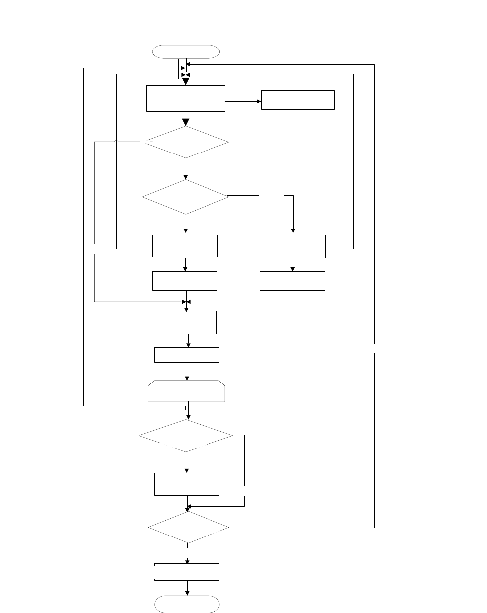
2-12-2 贴片跟踪
生产开始前显示贴片点列表,可通过贴片跟踪,检查贴片点上是否已贴片。
2-12-2-1 贴片跟踪动作流程图
蝕兵
START
⑪幣薮頭効忸
範斤三崇鳩
START押下
勧僕㌔揃貧
頁倦嗤児医
壅斜諸鳩範
斤三崇
頁
倦
児粥医勧僕鳩範
斤三崇
薮頭効忸
兜兵晒侃尖
梓和STOP
薮頭効忸泣議
薮頭効忸
効忸朔
倦薮頭
譜協
頁
譜協
頁倦薮頭
頁
倦
蝕兵伏恢議鳩範
倦
頁
蝕兵伏恢強恬
伏恢腎塰佩彜蓑
梓和STOP
梓和STOP 梓和STOP
梓和STOP
潤崩
BOC炎芝紛艶
梓和STOP
児医
諸頁倦瓜斜
倦
はい
児医壅紗諸 児医勧僕
图 2-12-2-1-1 贴片跟踪动作流程图
显示贴片跟踪确认
对话框
生产空运行状态
否
是
START 按下
STOP 按下
START 按下
STOP 按下
START 按下
STOP 按下
STOP 按下
否
是
是
确认重夹对话框
重夹基板
LOAD 基板
基板 LOAD 确定
对话框
贴片跟踪初期处理
BOC 标记识别
需贴片跟踪点的
贴片跟踪
BOC 标记识别
生产开始运行
END
否
否
传送通路上是否有
基板
是否夹紧基板
是
确认生产开始
对跟踪
后是否
贴片进行设置
2-156