CX-1_使用说明书 - 第560页
第1部 基本篇 第4章 生产程序制作 6) 跟踪时的坐标示教 当跟踪的坐标与实际不同时,可以使用HOD进行吸取坐标的示教。 <步骤> ① 将光标移动到 X、Y 或 Z 坐标。 ② 按 HOD 装置按钮,进行坐标示教,按 ENTER 键确定。 图 4-5-4-4-4-5 示教中 ③ 要使确定的坐标值有效时,按下<设置>或再次按下 ENTER 。 返回坐标时,按下<取消>或 CANCEL 。 在操作选项中…

第1部 基本篇 第4章 生产程序制作
② 吸取高度跟踪
在执行时,每一贴片点都向监视器输出如下信息。
Pos X:坐标 Y:坐标
Hms:“检测值”
Z :“数据值”
Angle:供给角度
Device:包装方式
Fdr No:送料器编号
Compo:元件名
Station:L 或
------- PICK Z TRACE -------
显示在元件的中心停止后,吸取数据的高度值
与 HMS 检测出的高度值。
当使用 HMS 无法检测时,显示为<*****>。
显示从返回原点位置开始的坐标。
根据元件尺寸,HMS测量位置如下。
元件尺寸 元件的高度测量装置
整个元件 元件中心
4-235

第1部 基本篇 第4章 生产程序制作
6) 跟踪时的坐标示教
当跟踪的坐标与实际不同时,可以使用HOD进行吸取坐标的示教。
<步骤>
① 将光标移动到 X、Y 或 Z 坐标。
② 按 HOD 装置按钮,进行坐标示教,按 ENTER 键确定。
图 4-5-4-4-4-5 示教中
③ 要使确定的坐标值有效时,按下<设置>或再次按下 ENTER。
返回坐标时,按下<取消>或 CANCEL。
在操作选项中设置为[放大数字]时,可以将像机拍摄的画像放大后显示在 VCS 监视器上。
在上述步骤②中,按 1 次 HOD 的 WINDOW 键时,可进入普通窗口示教。
继续按下第 2 次 WINDOW 键,可进入窗口放大显示示教。
元件外形尺寸的长边为 2.26mm 以上时,不论操作选项的设置如何,都不能放大显示。
吸取角度为 0 / 90 / 180 / 270°以外时,也不能放大显示。
根据元件外形尺寸,可切换为如下倍率:
・
选中放大4 倍时
长边尺寸为 2.25~1.11mm 时,放大×2 倍显示。
长边尺寸为 1.10~0.01mm 时,放大×4 倍显示。
・
不选中放大4倍时
长边尺寸为 2.25~0.01mm 时,放大×2 倍显示。
4-236

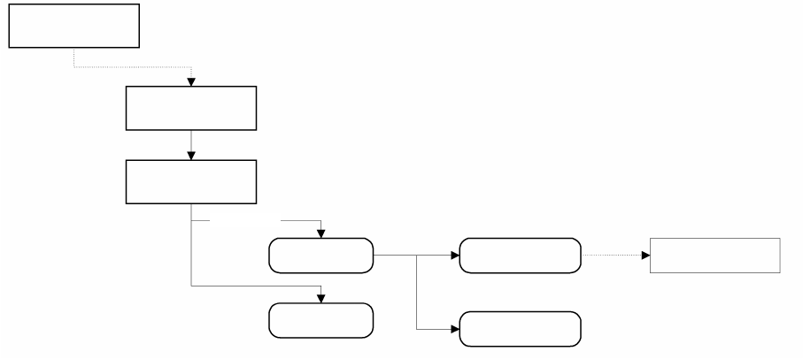
第1部 基本篇 第4章 生产程序制作
◆ 吸取跟踪中的示教操作流程
吸取坐标
向 XY 编辑箱中
输入焦距
按下 HOD 设备键
示教操作
确定坐标后
ENTER
CANCEL
按下“设置”按钮
或 ENTER
按下“取消”按钮
或 CANCEL
变更吸取数据
4-237