RL132规格说明书 - 第61页
RL132 2012.0903 - 55 - N 扭曲 10 mm 间距规格 引脚线弯曲角度 35 ° 时 的情况 单位 : mm A 部详细图 B 部详细图 插入方向 插入间距 0 °, 180 ° 90 °, -90 ° 0 °, 180 ° 90 °, -90 ° 10 mm 0 ° 90 ° 0 ° 90 ° 180 ° -90 ° 180 ° -90 ° 7.5 mm 0 °, 180 ° 90 °, -90 ° 0 °, 1…

RL132 2012.0903
- 54 -
N
扭曲
7.5 mm
间距规格 引脚线弯曲角度
35 °
时 的情况
单位
: mm
A
部详细图
B
部详细图
插入方向
插入间距
0 °, 180 ° 90 °, -90 ° 0 °, 180 ° 90 °, -90 °
7.5 mm
0 ° 90 ° 0 ° 90 °
180 ° -90 ° 180 ° -90 °
5 mm
0 °, 180 ° 90 °, -90 ° 0 °, 180 ° 90 °, -90 °
2.5 mm
不允许元件存在的范围
X 方向不可插入的范围
Y 方向不可插入的范围

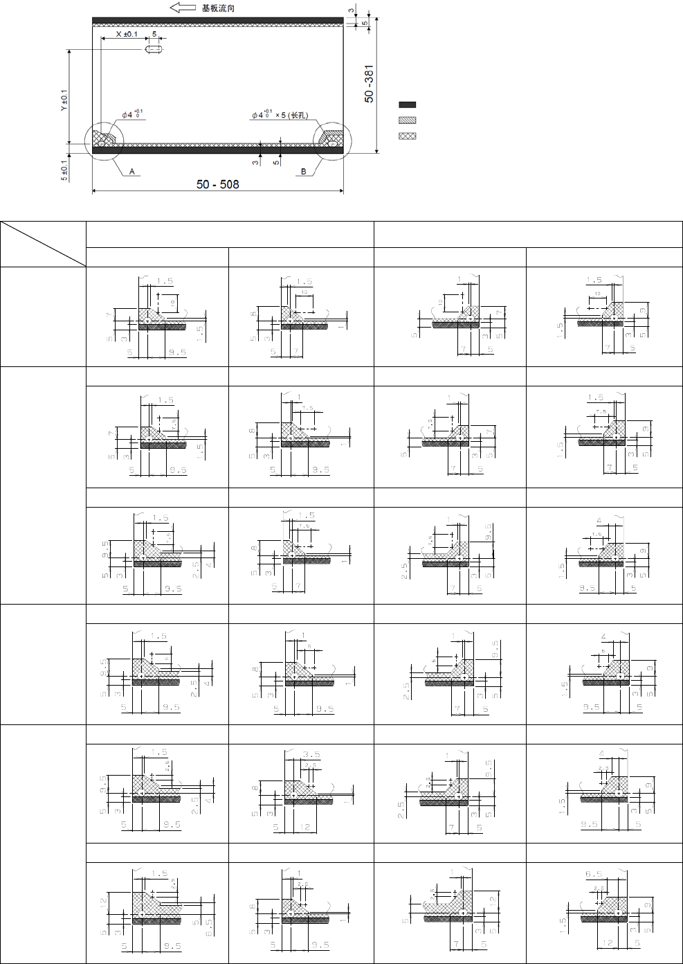
RL132 2012.0903
- 55 -
N
扭曲
10 mm
间距规格 引脚线弯曲角度
35 °
时 的情况
单位
: mm
A
部详细图
B
部详细图
插入方向
插入间距
0 °, 180 ° 90 °, -90 ° 0 °, 180 ° 90 °, -90 °
10 mm
0 ° 90 ° 0 ° 90 °
180 ° -90 ° 180 ° -90 °
7.5 mm
0 °, 180 ° 90 °, -90 ° 0 °, 180 ° 90 °, -90 °
5 mm
0 ° 90 ° 0 ° 90 °
180 ° -90 ° 180 ° -90 °
2.5 mm
※引脚线扭曲角度为
45°
时,请另外咨询。
不允许元件存在的范围
X 方向不可插入的范围
Y 方向不可插入的范围

RL132 2012.0903
- 56 -
■
T
扭曲的情况
单位
: mm
A
部详细图
B
部详细图
插入方向
插入间距
0 ° 90 ° 0 ° 90 °
180 ° -90 ° 180 ° -90 °
5.0 mm
注
)
其它印刷基板规格,按照以前规格。
5
5
3
10.5
3
10.5
1.5
3
5
5
3
11
3
8.5
1.5
5.5
5
5
3
10.5
1.5
7.5
7.5
10.5
5
5
8.5
3
1.5
5.5
11
3
5
5
3
10.5
11
7.5
1.5
7
5
5
3
2.5
7.5
10.5
11
7
5
3
5
12
3
10.5
1.5
5
5
3
10.5
11
2.5
7.5
7
不允许元件存在的范围
X 方向不可插入的范围
Y 方向不可插入的范围