WPC6服务手册 - 第133页
维修手册 WPC5 / WPC6 第 4 页 - 133 4.3 .1 示教零点位置 选择载荷轴 (1) 。 选择功能示教零位 (2) 。 选择下一步 (3) 。 按照显示的说明继续 Commit ( 1) 。

维修手册 WPC5 / WPC6
第 4 页-
132
注意
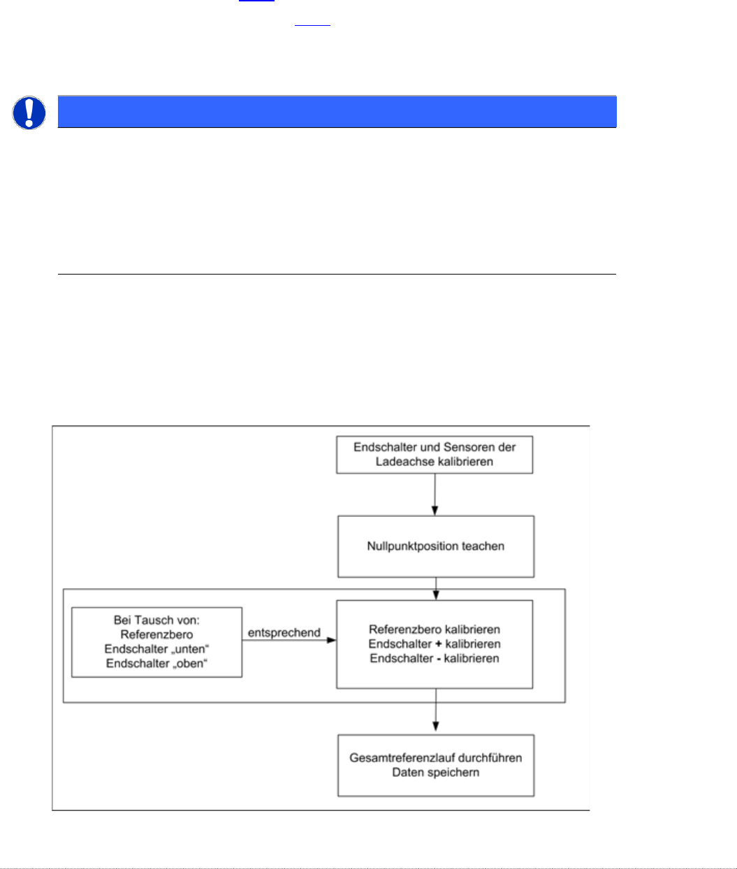
4.3 校准负载轴(仅限 WPC6)
校准前,从 WPC 中取出所有华夫饼托盘托架 (WPTC)。负载轴的校准包括以下功
能:
“4.3.2 示教零点位置”[➙4-133]
“4.3.3 参考接近开关(Bero)”[➙4-135]
“4.3.4 校准限位开关”[➙ 4-137]
防撞灯屏障组件高度
用于高度检查的碰撞光栅在校准期间不得触发
在校准参考传感器和限位开关期间,确保碰撞光栅不会无故触发。如果发生这种情况,
校准过程将停止,并且不会计算任何值或无效值。
校准期间,确保碰撞光栅的光束没有被物体等遮挡。
负载轴 - 设置顺序
如果更换了限位开关或传感器,您将需要相应地重新校准或重置它们。
仅当零点位置发生变化时才需要进行完整的重新校准。
软件中指定的限位开关 + 和限位开关 – 的功能由机器端和塔端的终端位置止动器(缓冲器)承
担。

维修手册 WPC5 / WPC6
第 4 页-
133
4.3.1
示教零点位置
选择载荷轴 (1)。
选择功能示教零位 (2)。
选择下一步 (3)。
按照显示的说明继续 Commit (1)。

维修手册 WPC5 / WPC6
第 4 页-
134
使用完成 (1) 确认新的零点位置。