Oxford-100-Manual.pdf - 第92页
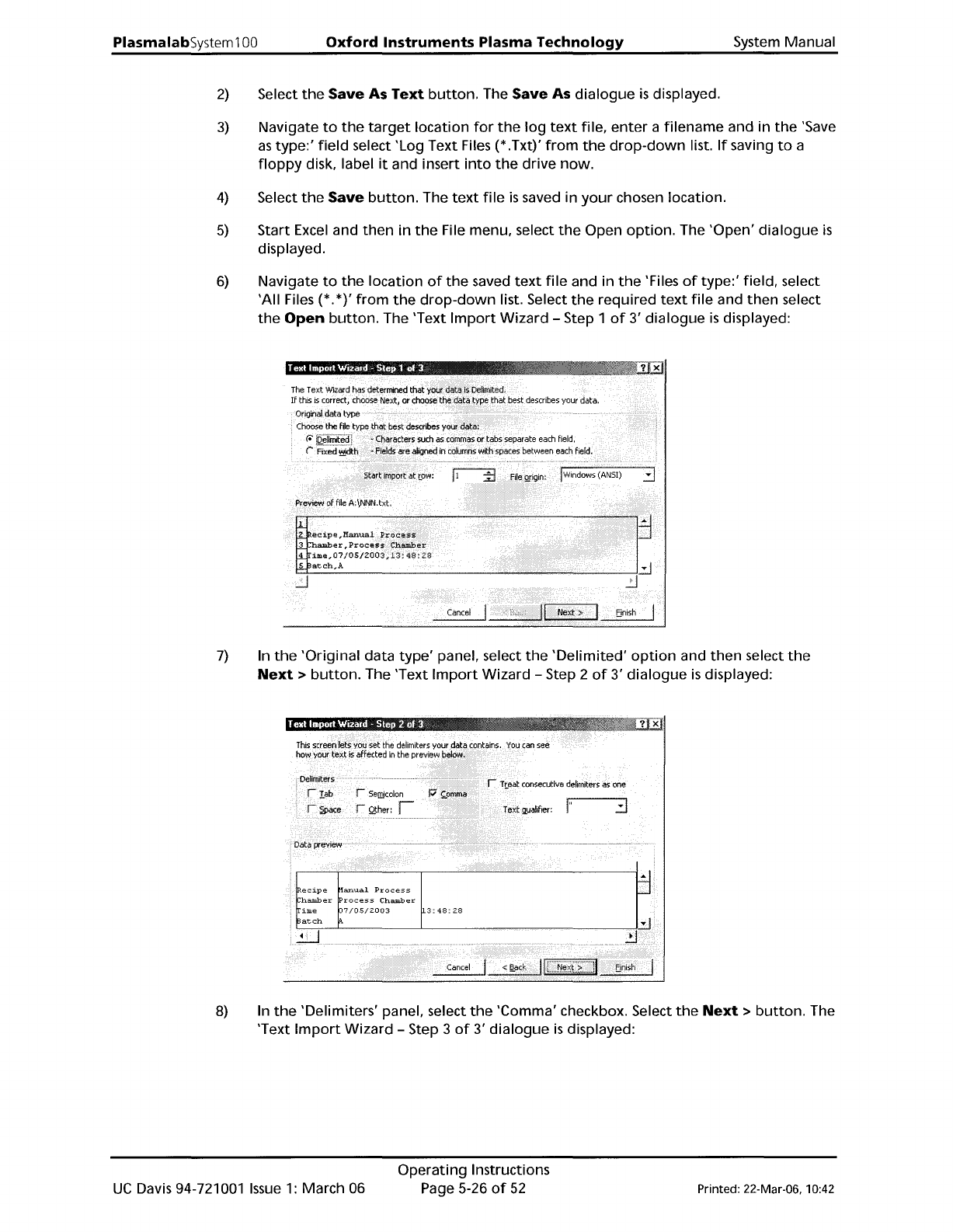
PlasmalabSystem 1 00 Oxford Instruments Plasma Technology System Manual 2) Select the Save As Text button. The Save As dialogue is displayed. 3) Navigate to the target location for the log text file, enter a filename and…

System
Manual
Oxford
Instruments
Plasma
Technology
PlasmalabSystem
100
The facilities
provided
on
the
page are
as
follows:
List
of
logged
events
Delete
button
Undo
button
Save
As
Text
button
View
Run
button
Filter
by
Type
list
Filter
by
Batch
Name
field
Filter
by
time
fields and
buttons
Hide
items
before
selection
button
Hide
items
after
selection
button
Show
all
items
button
Displays a list
of
logged
events in a
date/time
sequence.
Each
event
is
identified
by
an icon, date, time,
title,
duration,
name and comments
(if
present).
An
event
is
selected
(highlighted)
by clicking
on
it.
Deletes
the
selected
event
Undo
the
last action
Save
the
selected
event
as
a
text
file
for
use
in
spreadsheets etc.
Opens
either
the
Run Log page
(see
sub-section 5.6.2, page 5-28) or,
if
either
a Leak
detection
run
(il!ll)
or
MFC
calibration
run (illlill)
is
selected,
the
Leak Detect and
MFC
calibration
log
page
(see
sub-section 5.6.3,
page 5-29)
with
the
selected
log
data displayed.
A list
of
event
types
with
associated checkboxes.
Use
this panel
to
select
the
events
to
display
in
the
Event list. A checkbox
showing
an
'x'
indicates
that
the
associated
event
type
will
not
be displayed. A
checkbox
showing
a '.;" indicates
that
the
associated
event
type
will
be
displayed.
Enter a batch
name
to
list
only
logged
events associated
with
that
batch.
Use
these controls
to
select events occurring in a
time
range
to
be
displayed.
Displays all events
after
and
including
the
highlighted
event.
Displays all events
before
and
including
the
highlighted
event.
Displays all previously
hidden
events.
5.6.1.1
Saving
a
log
file
as
text
for
use
in
Microsoft
Excel™
NOTE: OIPT
now
supplies
customers
with
comprehensive
software
to
view/analyse
PC
2000
log
files.
The
software,
LogViewer,
is
provided
on
the
system
PC.
For
full
details
of
LogViewer,
refer
to
its
Manual
by
following
the
shortcut
on
the
desktop
of
your
system
PC.
Any
logged
process
run
can be saved
at
text
and
then
opened in
Excel
for
viewing,
analysing,
etc. To
do
this, use
the
following
steps:
1)
On
the
Select Log page, select
the
required process run (any
multiple
steps
will
be
automatically
highlighted).
Printed: 22-Mar-06. 10:42
Operating
Instructions
Page 5-25
of
52
UC
Davis 94-721001
Issue
1:
March 06

PlasmalabSystem1
00
Oxford
Instruments
Plasma
Technology
System Manual
2)
Select
the
Save
As
Text
button.
The
Save
As
dialogue
is
displayed.
3)
Navigate
to
the
target
location
for
the
log
text
file,
enter
a
filename
and in
the
'Save
as
type:'
field
select 'Log Text Files (*.Txt)'
from
the
drop-down
list.
If
saving
to
a
floppy
disk, label
it
and insert
into
the
drive
now.
4)
Select
the
Save
button.
The
text
file
is
saved in
your
chosen location.
5)
Start Excel and
then
in
the
File menu, select
the
Open
option.
The
'Open'
dialogue
is
displayed.
6)
Navigate
to
the
location
of
the
saved
text
file
and in
the
'Files
of
type:'
field, select
'All
Files (*.
*)'
from
the
drop-down
list. Select
the
required
text
file
and
then
select
the
Open
button.
The
'Text
Import
Wizard
- Step 1
of
3'
dialogue
is
displayed:
7)
In
the
'Original
data
type'
panel, select
the
'Delimited'
option
and
then
select
the
Next>
button.
The 'Text
Import
Wizard - Step 2
of
3'
dialogue
is
displayed:
8)
In
the
'Delimiters'
panel, select
the
'Comma' checkbox. Select
the
Next>
button.
The
'Text
Import
Wizard
- Step 3
of
3'
dialogue
is
displayed:
UC
Davis 94-721001
Issue
1:
March 06
Operating
Instructions
Page 5-26
of
52
Printed: 22-Mar-06, 10:42

System
Manual
Oxford
Instruments
Plasma Technology
PlasmalabSystem
100
9)
In
the
'Column data
format'
panel, ensure
that
the
'General'
option
is
selected and
then
select
the
Finish
button.
The process
run
log
data
is
now
displayed in
the
Excel
worksheet.
10)
Adjust
the
column
widths
so
that
all
text
is
visible and
then
save
the
spreadsheet.
Printed: 22-Mar-06, 10:42
Operating
Instructions
Page 5-27
of
52
UC
Davis 94-721001
Issue
1:
March 06