KE-3010_20V_使用说明书 - 第136页
第 1 部 基本編 第 2 章 生产 2-3 2-2-2 生产流程 START 生産条件を 選択して起動 終了 生産条件? 生産条件設定 部品数設定 基板生産 空打 空打条件設定 試打条件設定 部品数設定 試打 終了か? 実行モード指定 END 空打 試打 基板生産 N Y 実行モード指定 実行 モード指定 START 选择生产条件 并起动 设置试打条件 设置生产条件 设置空打条件 指定运行模式 指定运行模式 试打 空打 设置元件数 设…

第 1 部 基本編 第 2 章 生产
2-2
2-2 概要
使用已制作的生产程序,检查贴片、进行生产。
制作完新程序后,在实际生产前需要进行试生产,确认贴片坐标·吸取坐标等,并对新建的程序进
行最后检查。
2-2-1 生产模式
生产中有以下 4 种生产模式。
No.
生产模式 内容
1 基板生产 指定生产数量,实际生产基板的模式。
2 试打
试生产模式。
可选择吸取位置跟踪和贴片后的贴片位置跟踪。
※
1
3
空打
不使用元件而确认吸取贴片动作的模式。
可选择吸取位置跟踪和贴片位置跟踪。
※
1
4 FCS
贴片偏差综合校准系统(选项)
※ 1:参见第 4 章“4-5-4-7 跟踪”的贴片位置跟踪与吸取位置跟踪。
可在基板的生产、试打、空打模式中设置具体的生产条件、试打条件及空打条件。

第 1 部 基本編 第 2 章 生产
2-3
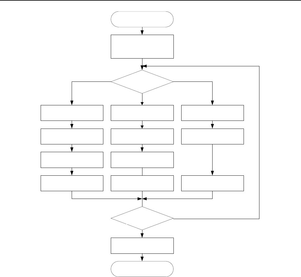
2-2-2 生产流程
START
生産条件を
選択して起動
終了
生産条件?
生産条件設定
部品数設定
基板生産 空打
空打条件設定試打条件設定
部品数設定
試打
終了か?
実行モード指定
END
空打試打
基板生産
N
Y
実行モード指定 実行モード指定
START
选择生产条件
并起动
设置试打条件 设置生产条件 设置空打条件
指定运行模式 指定运行模式
试打
空打
设置元件数 设置元件数
试打 基板生产 空打
结束?
结束
END
N
Y
指定运行模式
生产条件?
生产基板

第 1 部 基本編 第 2 章 生产
2-4
2-2-3 生产主菜单的构成
主菜单 下拉式菜单 内容
1 打开
读入生产程序文件。
参见程序编辑的“2-6-1 打开”
2 保存 覆盖保存编辑过的生产程序。
参见程序编辑的“2-6-2 保存”。
3 另存为
改变程序的文件名后另存为。
参见程序编辑的“2-6-3 另存为”
4 保存生产管理信息
将生产程序的生产管理信息以文本格式输出
(*.csv)。
5 删除继续生产文件 删除含有继续生产文件的
生产程序的继续生产文件。
6 取得设备信息 取得设备信息,保存文件。
1 文件
7
退出 结束生产。
1 生产条件 显示生产启动画面。
显示在基板生产条件、试打条件、空打条件、
操作选项中设置的内容。
并设置共同项目、基板生产运行时、试打运
行时、空打运行时的条件。
2 生产状态(设备)
显示生产开始时的画面。
显示生产运行中的设备状态。
3
生产状态(动作)
显示生产开始时的画面。
显示生产运行中的数据(步骤 No.等)。
4
生产状态(扩大) 显示生产开始时的画面。
显示生产中基板数量的扩大。
5
生产状态(真空) 显示生产开始时的画面。
显示生产中各个吸嘴 Head 的真空值。
6
生产状态(图像) 显示生产开始时的画面。
显示生产中拍摄的标记识别画面、图像识别
画面。
7
生产管理信息(综合)
显示生产程序固定的储存数据。
8
生产管理信息(Head)
显示每个吸嘴 Head 储存的数据(吸取次数等)。
9
生产管理信息(供给) 显示供应装置每个吸取位置的数据(吸取次数等)。
10
生产管理信息(吸取率)
显示所有吸取装置的吸取位置的吸取率。
按最差顺序。
11
清除生产管理信息 清除生产管理信息。
2
窗口
12
电动式供料器确认 显示电动式供料器的状态