精典德律AOI检测程式制作手册(全) - 第15页
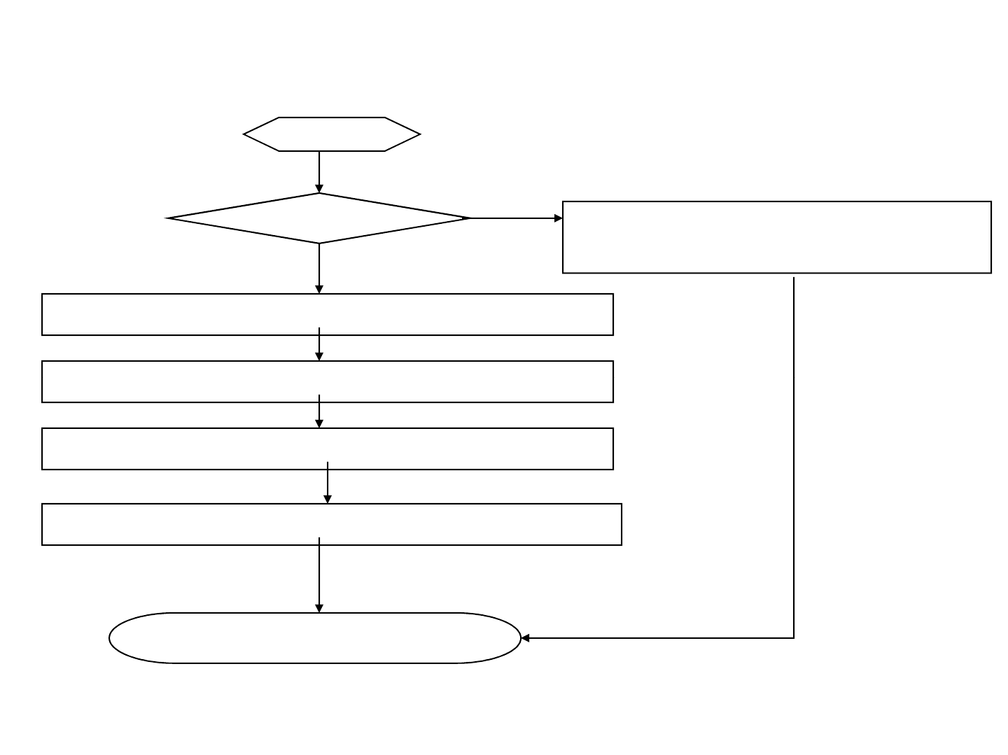
3.1 對 CA D 整理的流程圖 否 是 把 BOT 面的元件 CAD 选中 , 更改板号为 "2". 是否為陰陽板 將此元件資料編輯成與左上角之基板 資料一致 . 將 TOP 元件資料編輯成與左上角之機板資料一致 . 原始 CAD 檔 把 BOT 面的元件 CAD 选中 , 更改板号为 "2". 再次更改 BOT 面的板号为 "1". 依选取部分 " 左右镜射 &…

如果原始CAD檔与左上角之機板資料成180度,則要把左上角的元件資料旋
轉180度.點右鍵,選擇”檢視元件位置”,可以看到旋轉以后的元件位置.

3.1 對CAD整理的流程圖
否
是
把
BOT
面的元件
CAD
选中
,
更改板号为
"2".
是否為陰陽板
將此元件資料編輯成與左上角之基板
資料一致.
將TOP元件資料編輯成與左上角之機板資料一致.
原始CAD檔
把
BOT
面的元件
CAD
选中
,
更改板号为
"2".
再次更改BOT面的板号为"1".
依选取部分"左右镜射".
完成CAD檔的初步编辑.

PCB板為陰陽板
(2)把BOT面的元件CAD选中,从右键菜单中点”更
改板”,在弹出的镜射对话框中,填入”2”.
(3)从右键菜单中点”镜射”,在弹出的镜射对
话框中, 选择"左右镜射“,填入板号”2”.
(1)將TOP元件資料編輯成
與左上角之機板資料一致.
“镜射动作完成”对话框弹出,点击”确
定”.