KE-2070_80_80R_Instruction_Manual_Rev10_C - 第111页
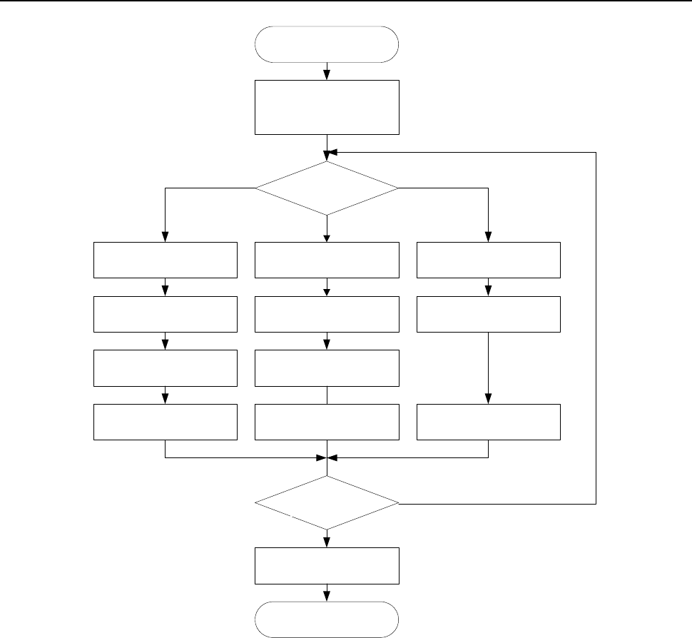
第1部 基本篇 第2章 生产 2-3 2-2-2 生产流程 START 生産条件を 選択して起動 終了 生産条件? 生産条件設定 部品数設定 基板生産 空打 空打条件設定 試打条件設定 部品数設定 試打 終了か? 実行モード指定 END 空打 試打 基板生産 N Y 実行モード指定 実行モー ド指定 图 2-2-2-1 生产概略流程 START 选择生产条件 并起动 设置试打条件 设置生产条件 设置空打条件 指定运行模式 指定运行模式 …

第1部 基本篇 第2章 生产
2-2
2-2 概要
使用已制作的生产程序,检查贴片、进行生产。
制作完新程序后,在实际生产前需要进行试生产,确认贴片坐标·吸取坐标等,并对新建的程序
进行最后检查。
2-2-1 生产模式
生产中有以下 3 种生产模式。
No. 生产模式 内容
1 基板生产 指定生产数量,实际生产基板的模式。
2 试打
试生产模式。
可选择吸取位置跟踪和贴片后的贴片位置跟踪。
※1
3 空打
不使用元件而确认吸取贴片动作的模式。
可进行吸取位置跟踪和贴片位置跟踪。
※1
※1:参见第 4 章“4-5-4-4 确认”的贴片位置跟踪与吸取位置跟踪。
基板的生产、试打、空打中,可分别设定生产条件、试打条件及空打条件。

第1部 基本篇 第2章 生产
2-3
2-2-2 生产流程
START
生産条件を
選択して起動
終了
生産条件?
生産条件設定
部品数設定
基板生産 空打
空打条件設定試打条件設定
部品数設定
試打
終了か?
実行モード指定
END
空打試打
基板生産
N
Y
実行モード指定 実行モード指定
图 2-2-2-1 生产概略流程
START
选择生产条件
并起动
设置试打条件 设置生产条件 设置空打条件
指定运行模式 指定运行模式
试打
空打
设置元件数 设置元件数
试打 基板生产 空打
结束?
结束
END
N
Y
指定运行模式
生产条件?
生产基板

第1部 基本篇 第2章 生产
2-4
2-2-3 生产主菜单的构成
主菜单 下拉式菜单 子菜单 内容
1 打开
读入生产程序文件。
参见程序编辑中的“打开”
2 保存
覆盖保存编辑过的生产程序。参见程序编
辑中的“保存”
3 另存为
改变程序的文件名后保存。参见程序编辑
中的“另存为”
4 删除继续生产文
件
删除含有继续生产文件的生产程序中的继
续生产文件。
5 设备信息的取得
取得设备信息,保存文件
1 文件
6 结束应用程序
结束生产。
1 工具栏
切换工具栏的显示/不显示。
2 显示
2 状态栏
切换状态栏的显示/不显示。
1 生产条件画面
显示生产启动画面。
显示基板生产条件、试打条件、空打条件、
操作选项中设置的内容。
并设置共同项目、基板生产运行时、试打
运行时、空打运行时的条件。
1 生产设备状态
显示生产开始时的画面。显示生产运行中
的设备状态。
2 生产状态
2 生产状态
显示生产开始时的画面。显示生产运行中
的数据(步骤 No.等)。
1 合计 显示生产程序固有的储存数据。
2 前面 显示每一前面吸取位置储存的数据(吸取
数量等)。
3 后面 显示每一后面吸取位置储存的数据。
4 托架 显示每一层托架储存的数据。
5 MTC 显示每一层 MTC 储存的数据。
6 MTS 显示每一层 MTS 储存的数据。
7 吸取率 按最差顺序,显示所有吸取装置的吸取位
置或各层的吸取率。
3 生产管理信息
8 清除 清除储存的所有生产管理信息。
4 生产信息
显示生产运行中的数据(总贴片率等)。
3 窗口
5 传送·I/O 状态
显示传送路线的传感器状态及 I/O 状态。
生产通过模式时,也进行搬运动作。