KE-2070_80_80R_Instruction_Manual_Rev10_C - 第530页
第1部 基本篇 第4章 制作生产程序 4-211 1) 设置条件 从菜单栏中选择“机器操作”/“确认”/“坐标类”/“贴片位置”后,显示如下画面。 图 4-5-4-4-3-1 摄像机跟踪贴片坐标位置 ① 跟踪方法(传送方法) (1)自动跟踪 以一定的间隔,依次用摄像机捕获贴片位置。在以下的“自动传送间隔”设定的时间停止, 经过该设定的时间后移动到下一点。 ●自动传送间隔:调整停止间隔。可设定的范围为0.01秒~5秒。 (2)手动跟踪 按…

第1部 基本篇 第4章 制作生产程序
4-210
4-5-4-4-3 坐标类:贴片位置
通过摄像机跟踪贴片位置。确认监视器中显示的贴片位置,当输入坐标不准确时,可通过示教进
行修正。
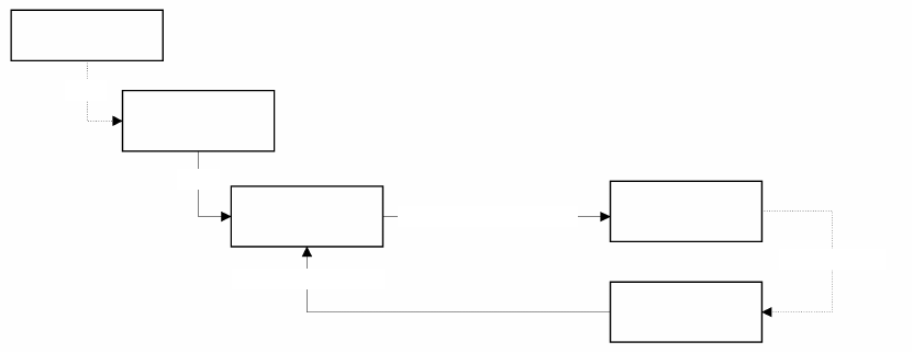
<跟踪贴片位置的流程>
机器操作菜单
贴片位置
设置贴片位置摄像
跟踪的条件
执行贴片位置
摄像跟踪
反映各坐标的修正
向各贴片数据坐标移动
执行
选择
在监视器上
目视检查
用 HOD 进行示教
各坐标的修正

第1部 基本篇 第4章 制作生产程序
4-211
1) 设置条件
从菜单栏中选择“机器操作”/“确认”/“坐标类”/“贴片位置”后,显示如下画面。
图 4-5-4-4-3-1 摄像机跟踪贴片坐标位置
① 跟踪方法(传送方法)
(1)自动跟踪
以一定的间隔,依次用摄像机捕获贴片位置。在以下的“自动传送间隔”设定的时间停止,
经过该设定的时间后移动到下一点。
●自动传送间隔:调整停止间隔。可设定的范围为0.01秒~5秒。
(2)手动跟踪
按下HOD的“NEXT”键或<开始>开关,向下一点移动。
② 跟踪范围
输入是否将贴片数据的第几点到第几点作为跟踪范围进行跟踪。默认值为跟踪所有贴片点。
设置所有跟踪条件,准备完成后,按下<开始>开关或“执行”。
按下“关闭”,返回原来的画面。

第1部 基本篇 第4章 制作生产程序
4-212
2) 校准 BOC 标记
执行后如果设置有BOC标记的生产程序,为提高贴片位置的精度,会执行BOC校准。(识别所有电
路的BOC)
图 4-5-4-4-3-2 正在校准 BOC 标记