KE-2070_80_80R_Instruction_Manual_Rev10_C - 第535页
第1部 基本篇 第4章 制作生产程序 4-216 ◆ 贴片跟踪时的示教操作流程 贴片坐标 将输入焦点放在 XY 编辑框里 按 下H O D 装 置 键 示 教操作 确定 坐 标 后 ENTER CANCEL 按 下“设 定 ” 按 钮 或 ENTER 按 下“取 消 ” 按 钮 或 CANC EL 变 更 贴片数 据

第1部 基本篇 第4章 制作生产程序
4-215
6) 跟踪时的坐标示教
当跟踪的坐标与实际不一致时,可用HOD进行贴片坐标的示教。
<步骤>
① 将光标移动到 X 或 Y 坐标。
② 按 HOD 装置键,进行坐标示教,然后按 ENTER 键确定。
图 4-5-4-4-3-4 正在进行示教
③ 要使确定的坐标值有效时,按下<设定>或再次按下 ENTER。
返回坐标时,按下<取消>或CANCEL。
在操作选项中设定 [放大数字]时,可将像机拍摄的画像放大在 VCS 监视器上显示。
在上述步骤②中,按 1 次 HOD 的 WINDOW 键时,通常情况下可转入窗口示教。
继续按下第 2 次 WINDOW 键时,切换为放大显示的示教窗口。
元件外形尺寸的长边为 2.26mm 以上时,不论操作选项的设定如何,都不能放大显示。而且,贴装
角度 + 电路角度为 0 / 90 / 180 / 270°以外时,也不能放大显示。
可根据元件的外形尺寸,切换放大比例:
・
选中放大4倍时:
长边尺寸为 2.25~1.11mm 时 ,放大 2 倍显示。
长边尺寸为 1.10~0.01mm 时,放大 4 倍显示。
・
不选中放大4倍时:
长边尺寸为 2.25~0.01mm 时,放大 2 倍显示。

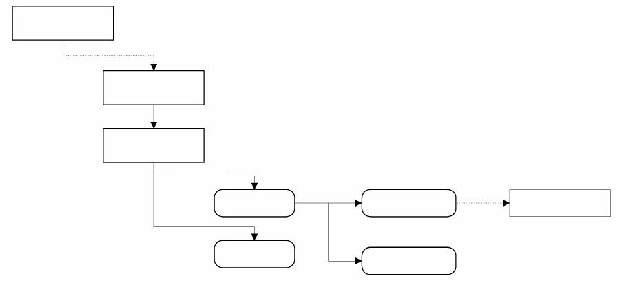
第1部 基本篇 第4章 制作生产程序
4-216
◆ 贴片跟踪时的示教操作流程
贴片坐标
将输入焦点放在
XY 编辑框里
按
下HOD
装
置
键
示
教操作
确定
坐
标
后
ENTER
CANCEL
按
下“设
定
”
按
钮
或 ENTER
按
下“取
消
”
按
钮
或 CANCEL
变
更
贴片数
据

第1部 基本篇 第4章 制作生产程序
4-217
4-5-4-4-4 坐标类:吸取位置/吸取高度
通过摄像机跟踪吸取位置。确认监视器中显示的吸取位置,当输入坐标不准确时,可通过示教进
行修正。
此外,可以通过HMS(选购件)跟踪吸取高度。此时,监视器上依次显示从HMS获得的检测值。当高
度有明显差异时,请与坐标示教一样,进行高度值示教。
◆ 吸取位置(高度)跟踪的流程
1) 设置条件
从菜单栏中选择“机器操作”/“确认”/“坐标类”/“跟踪吸取位置”,显示如下画面。
图 4-5-4-4-4-1 吸取坐标位置摄像机跟踪
机器操作菜单
吸取位置/吸取高度
设置吸取跟
踪的
条件
执行吸取位置
(高度)跟踪
反映各坐标的修正
向各吸取数据坐标移动
在监视器上目检
坐标/HMS 检出值
用 HOD 进行示教
修正各坐标
选择
执行