FX-3R_(操作手册.管理员)OperationManual2_Rev00_C - 第219页
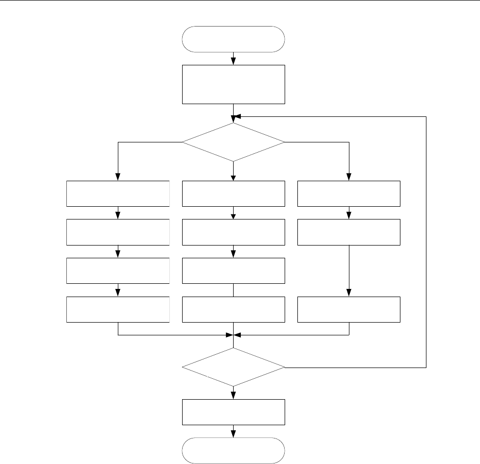
操作手册Ⅱ 3-2 3-1-2 生产流程 START 生産条件を 選択して起動 終了 生産条件? 生産条件設定 部品数設定 基板生産 空打 空打条件設定 試打条件設定 部品数設定 試打 終了か? 実行モード指定 END 空打 試打 基板生産 N Y 実行モード指定 実行モード指定 图 3-1-2-1 生产概略流程 START 选择生产条件 并起动 设置试打条件 设置生产条件 设置空打条件 指定运行模式 指定运行模式 试打 空打 设置元件…

操作手册Ⅱ
3-1
第 3 章 生产
3-1 概要
使用已制作的生产程序,检查贴片、进行生产。
制作完新程序后,在实际生产前需要进行试生产,确认贴片坐标·吸取坐标等,并对新建的
程序进行最后检查。
3-1-1 生产模式
生产中有以下 4 种生产模式。
No. 生产模式 内容□
1 基板生产 指定生产数量,实际生产基板的模式。
2 试打
试生产模式。
可选择吸取位置跟踪和贴片后的贴片位置跟踪。
3 空打
不使用元件而确认吸取贴片动作的模式。
可选择吸取位置跟踪和贴片位置跟踪。
4 FCS 贴片偏差综合校准系统(选项)
可在基板的生产、试打、空打模式中设置具体的生产条件、试打条件及空打条件。

操作手册Ⅱ
3-2
3-1-2 生产流程
START
生産条件を
選択して起動
終了
生産条件?
生産条件設定
部品数設定
基板生産 空打
空打条件設定試打条件設定
部品数設定
試打
終了か?
実行モード指定
END
空打試打
基板生産
N
Y
実行モード指定 実行モード指定
图 3-1-2-1 生产概略流程
START
选择生产条件
并起动
设置试打条件 设置生产条件 设置空打条件
指定运行模式 指定运行模式
试打
空打
设置元件数 设置元件数
试打 基板生产 空打
结束?
结束
END
N
Y
指定运行模式
生产条件?
生产基板

操作手册Ⅱ
3-3
3-2 生产画面
3-2-1 生产画面的启动
在主画面上选择“生产”-“基板生产”,或功能栏的“基板生产”,则会显示如下的生产条
件设置画面。
请指定生产条件(参见“3-2-2 生产条件画面”)。
图 3-2-1-1 生产画面