00196043-05 - SG X und X4I FSE_de - 第302页
Collect-, Pick- und Place-Kopf (CPP) Feststellung der Vakuumwerte und Gr enzwerte Referenzlauf CPP-Kopf Student Guide SIPLACE X-Serie und X4I FSE 302 Festste llung der Vakuumwer te und Grenzwerte 8.3.5 Feststellung der V…

Collect-, Pick- und Place-Kopf (CPP)
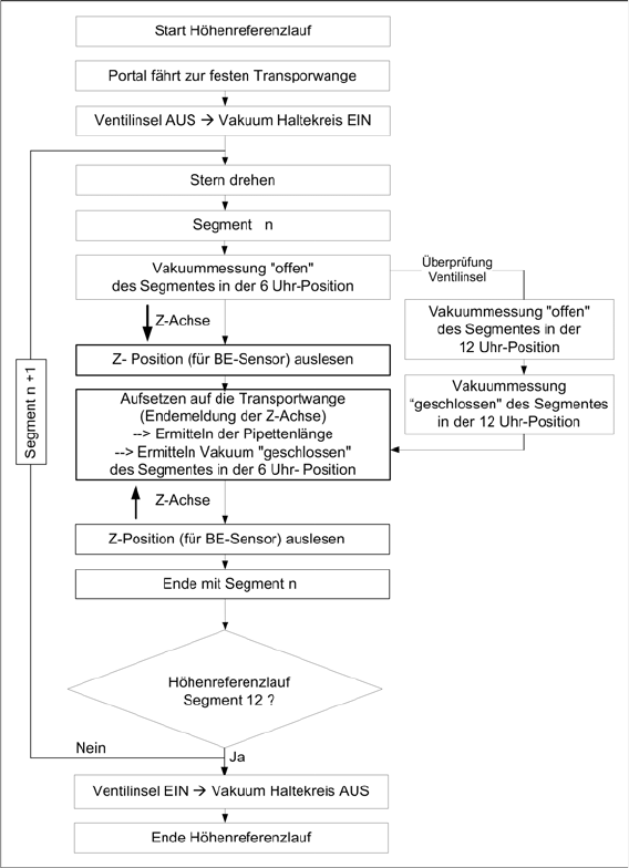
Referenzlauf CPP-Kopf Höhenreferenzlauf
301 Student Guide SIPLACE X-Serie und X4I FSE
▪ Das Portal fährt den Bestückkopf über die feste Transportkante in die Position für die
Höhenvermessung.
▪ Der Stern dreht das zu messende Segment in die Abhol-/Bestückposition.
▪Der Wert Vakuum offen wird für das entsprechende Segment gemessen.
Die Z-Achse wird nach unten positioniert:
▪ Bei der Unterbrechung des BE-Sensorstrahls wird die Z-Position der Achse für den BE Sensor
ermittelt.
▪ Beim Aufsetzen auf die Transportwange wird die mechanische Pipettenlänge durch die Z-Position
ermittelt und das Vakuum geschlossen gemessen.
Die Z-Achse wird nach oben positioniert:
▪ Wird der Strahl des BE-Sensors frei, so wird nochmals die Z-Position der Achse für den BE-Sensor
ermittelt.
▪ Während jeder Sternumdrehung werden die Ventilinsel und der Haltekreis mit offener und
geschlossener Pipette in 12-Uhr-Position überprüft.

Collect-, Pick- und Place-Kopf (CPP)
Feststellung der Vakuumwerte und Grenzwerte Referenzlauf CPP-Kopf
Student Guide SIPLACE X-Serie und X4I FSE 302
Feststellung der Vakuumwer te und Grenzwerte
8.3.5 Feststellung der Vakuumwerte und Grenzwerte
Messung und Berechnung der Vakuumwerte bei der Referenzfahrt
▪ Zwei Vakuummessungen werden beim Höhenreferenzlauf durchgeführt: die erste Messung bei
offenem, die zweite bei geschlossenem Zustand an der Pipettenspitze.
▪ Der Wert bei geschlossenem Segment hängt nicht mehr vom Umgebungsdruck ab, sondern wird
durch das Druckregelventil eingestellt. Ein Einfluss auf die Vakuummesswerte ist durch den
Pipettensitz (Pipettenabholfehler) und die Qualität (Verschmutzung/Beschädigung) der
Pipettenspitze gegeben.
▪ Der Wert bei offenem Druckregelventil hängt von der Pipettengröße und deren Zustand ab. Je
kleiner die Pipette, um so größer der Wert bei offenem Ventil. Dieser ist pipettenspezifisch vom
SIPLACE Pro-Rechner vorgegeben. Auch eine verunreinigte oder blockierte Pipette wird jedoch
einen hohen Wert ergeben.
▪ Der Unterschied zwischen offenen und geschlossenen Pipetten ist als Minimumwert durch das
Programmiersystem vorbestimmt. Dieser Wert ist für alle Pipettentypen unterschiedlich. z. B.
120 mbar für 1004, 1014...-er Pipetten. Können diese Werte nicht erreicht werden, erscheint die
Fehlermeldung "Vakuumdifferenz offen-geschlossen zu gering".
▪ Die Schwelle für die Bauteileakzeptanz wird zu diesem Zeitpunkt festgelegt. Angenommene
Messwerte einer 1004 Pipette: bei offener Pipette ein Wert von 660 und bei geschlossener Pipette
ein Wert von 852 mbar. Die Berechnung wird wie folgt durchgeführt:
Vakuumabstand = (852 (geschlossen) - 660 (offen) = 192 mbar.
Das ist größer als der im Parametersatz geforderte Vakuumabstand des Pipettentyps von 120 mbar.
Das offene Vakuum ist mit 660 mbar wesentlich höher als die geforderten 250 mbar.

Collect-, Pick- und Place-Kopf (CPP)
Abhol- und Bestückzyklus am CPP Messung Z-Achsenpositionen für die BE-Erkennung durch den BE-Sensor
303 Student Guide SIPLACE X-Serie und X4I FSE
Messung Z-Achsenpositionen für die BE-Erkennung durch den BE-Sensor
8.3.6 Messung Z-Achsenpositionen für die BE-Erkennung durch den BE-Sensor
Während die Z-Achse nach unten fährt, unterbricht die Pipette den Laserstrahl des BE-Sensors. In
diesem Moment wird die Achsposition ausgelesen und später zur Berechnung der BE-Höhe und BE-
Anwesenheit benutzt. Bei der Aufwärtsbewegung der Z-Achse wird der unterbrochene Laserstrahl frei
und die Achsposition nochmals ausgelesen. So kann die BE-Anwesenheit im Bestückprozess durch die
programmierte BE-Höhe (SIPLACE Pro) und der ermittelten Pipettenlänge während des
Höhenreferenzlaufs über den Positionszähler der Z-Achse berechnet werden.
Abhol- und Bestückzyklus a m CPP
8.4 Abhol- und Bestückzyklus am CPP
Arbeitspositionen am Bestückkopf
8.4.1 Arbeitspositionen am Bestückkopf
Pipettenlängenreferenzwerte für BE-Erkennung mit BE-
Sensor
Legende
1. BE-Sensor
2. Pipette
3. Empfänger
4. Sender
Der BE-Sensor ermittelt während des
Höhenreferenzlaufs die Z-Achsenositionen jedes
einzelnen Segments für die An- bzw. Abwesenheit von
Bauelementen in der Bestück-/Abholposition.
Arbeitspositionen am Bestückkopf
Legende
1. Optische Zentrierung (BE-Kamera)
2. Vakuummessung Haltekreis
3. Vakuummessung Bestückkreis
4. Abhol- / Bestückstation und Abwurfposition
5. Position BE-Sensor
6. Arbeitsrichtung im C&P-Modus