FX-1 使用说明书.pdf - 第400页
第7章 生产准备 7 生产准备 7.1 生产准备操作流程 基板生产前需要进行的准备工作流程,示图如下。 .. 搬送レー 開始 开始 ル幅調整 基板固定方法 外形基準 穴基準 ストッパ位置調整 センタリングピン 位置調整 サポートピン配置 基準 ン 位 ピン/従動ピ 置設定 外形基準位置設定 終了 サポートピン配置 ストッパ位置調整 调整传送轨道宽度 孔基准 外形基准 调整挡块位置 调整挡块位置 调整定心销位置 配置支撑销 配置支撑销 设…

第 6 章 编辑辅助功能
6-130
6.6.3 重新查找
重新查找是从数据库、或固定信息中,再次查找程序数据中的元件数据、吸取数据、
图像数据,更新程序中的数据。
● 单击[重新查找]后,出现下列对话框。
图 6.6-8 确认修改角度的信息
确定 全面修改吸取角度。
取消 不修改吸取数据设定的角度。

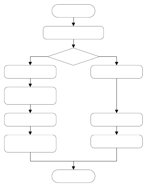
第7章 生产准备
7 生产准备
7.1 生产准备操作流程
基板生产前需要进行的准备工作流程,示图如下。
..
搬送レー
開始
开始
ル幅調整
基板固定方法
外形基準穴基準
ストッパ位置調整
センタリングピン
位置調整
サポートピン配置
基準 ン
位
ピン/従動ピ
置設定
外形基準位置設定
終了
サポートピン配置
ストッパ位置調整
调整传送轨道宽度
孔基准
外形基准
调整挡块位置
调整挡块位置
调整定心销位置
配置支撑销
配置支撑销
设置基准针/
设置外形基准位置
从动针
退出
表 7.1-1 生产准备流程图
7.2 基板的设置
基板的固定(定心)方法有使用 Y 钳夹马达(中央基板宽度调整马达)
*1
的外形基准和使用定
心销的销基准(选装项)两种。
下面,对使用「生产」的简易准备功能对话框[传送]→[个别控制]
* 2
的设置方法
,加以说明。
*1 在销基准也可使用 Y 钳夹马达,但比起外形基准,移动量要小得多。
*2 生产的简易准备功能操作方法如下:
依次选择[生产]→[生产支援]菜单 →[简易准备]→[传送]标签→[个别控制] 按钮,操作传
送准备工作画面。有关个别控制的详细说明,请参见第 10 章 手动控制。
注意: 启动[生产]时,需要读取生产程序。
7-1

第7章 生产准备
7.3 传送部的构成
7.3.1 外形基准
1) 传入基板,IN 传感器①检测出基板后,传送马达⑮驱动驱动轴⑩,使传送带开始传送。同时
打开停止挡块⑪。
2) 基板到达停止挡块⑪时,被 STOP 传感器④检测出来后,支撑台⑬上升,由 Y 钳夹马达夹住
基板外形,基板被安装在支撑台⑬的支撑销⑯固定
住。
3) 固定后,与上述同,传入下一个基板,在等待传感器③位置上待命。
4) 基板生产结束后释放基板,开始传出。
5) 上一个基板从 C-OUT 传感器④通过后,停止挡块⑪再打开,夹下一个基板。
7.3.2 销基准
传入动作和外形基准相同,但由安装在支撑台⑬上的定心销⑫、支撑销⑯来固定。传出动作也
和外形基准相同。
①
⑩
⑨
22
⑩
⑭
⑬
图 7.3-1 基板传送
① IN 传感器 ⑨ 传送电磁阀 ⑰ 减压阀
② OUT 传感器 ⑩ 驱动轴 ⑱ 调整柄
③ WAIT 传感器 ⑪ 停止挡块 ⑲ 调整停止挡块
④ STOP 传感器 ⑫ 定心销 ⑳ 杆轴
⑤ C-OUT 传感器 ⑬ 支撑台 手摇把
⑥ C-OUT2 传感器 ⑭ CENTER 马达 基板察觉档销
⑦ 支撑台原点传感器 ⑮ IN/OUT 马达
⑧ 支撑销检测传感器 ⑯ 支撑销
⑦
⑯
②
⑧
⑤
⑥
⑰
⑱
21
③
④
⑪
⑪
⑫
⑬
⑲
⑳
⑧
⑩
⑮
⑮
21
22
7-2