IPC-2221A-2003中文版-印制板设计通用标准 - 第118页
图 B-4 是 帮助说明 现 有的 内 层导 体 图表 与从 任务组 研究 的结 果之 间的不 一致 的。电 流 是施 加到一 块 印制板结构 中相 同 尺寸 的导线 上 的。 在所有 情况 中 的 唯 一区 别是 板材的热 学 性能。 IPC的 △ T或T 差 是 用 代 表IPC 内 层导 体 图表的等 式确 定的。 这 表明了 使用外 层导 体 图表 中 的电 流 值 的 一半 的 保 守 性。 酚醛 、 被 称作XXX P 、 …

4 IPC 1-10b载流能⼒任务组
IPC 1-10b载流能力任务组是开发IPC-2152的
导体的载流能力的。该任务组是研究当施加电
流时、影响导体温度的变量。主要焦点是在内
层导体上、任务组从测试和热学模型获得结
果。所研究的变量为导体宽度和厚度、板材和
板厚、内层覆铜层、环境(空气、真空)、时间
的依赖性和功率消耗。将会与IPC-2152一道制
定培训计划以培养使用者使用新标准。
任务组的一些结
论包含在图B-3到B-5中。单导
线被专门挑出来与内层导体尺寸确定图表中的
值相比较。这些图中给出的结果都是用于内层
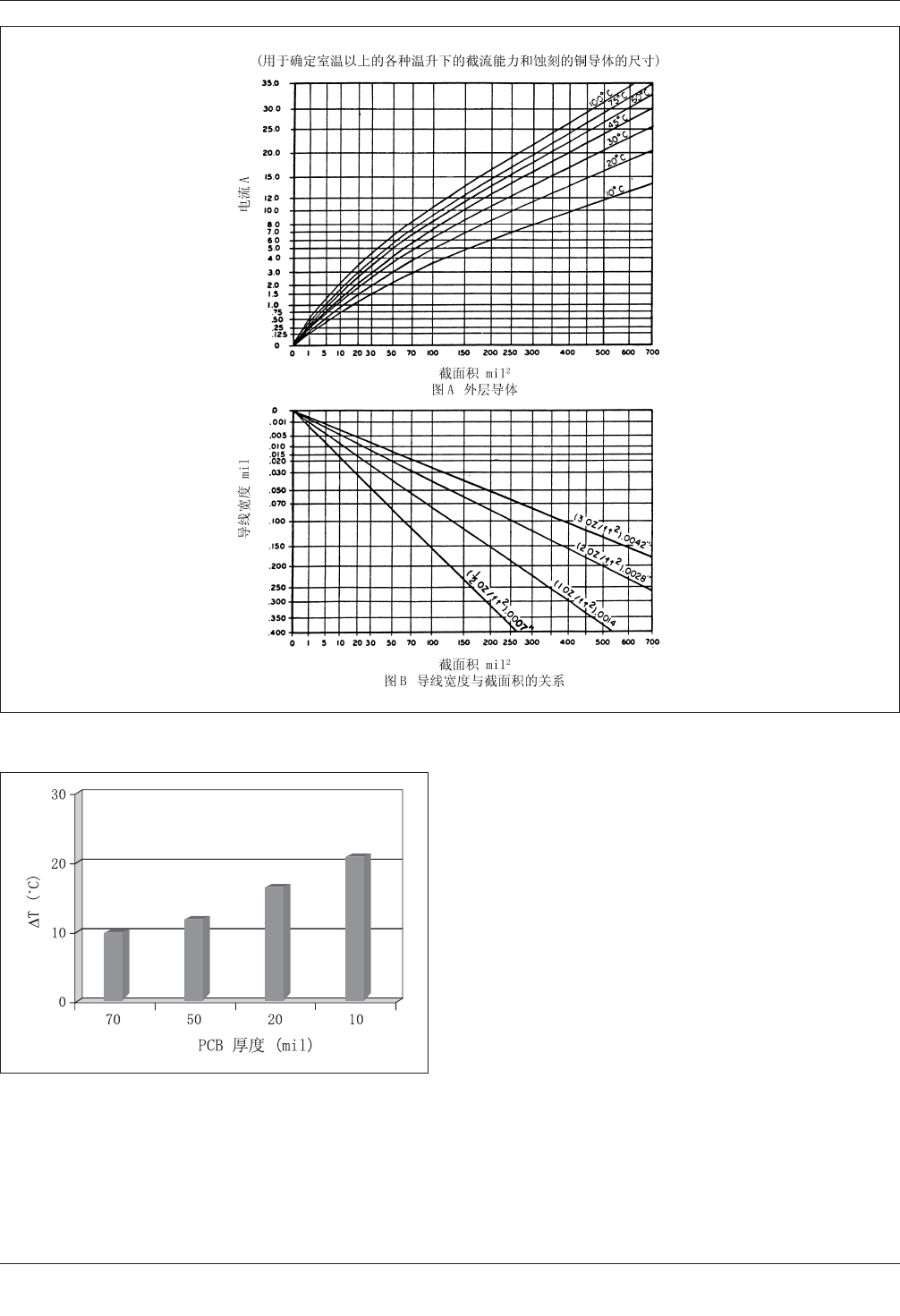
导体的。图B-3给出了板厚是如何影响导体温
度的。
表B-1 样品测试
代码 材料及芯厚(in) 铜厚(in)
1
附加的⼯艺
测试温度
(ºC) 测试⽅法
2
A 5-7 XXXP 1/16 0.0027 KK 无 50 IR & TC
B 2-7 XXXP 1/16 0.004 K 无 50 IR & TC
C 4-7 XXXP 1/16 0.00135 K 无 50 IR
D 4-10环氧1/16 0.00135 K 无 50 IR & TC
E 5-7 XXXP 1/16 0.0027 K 无 60 IR & TC
F 2-7 XXXP 1/16 0.0027 K 无 60 IR
G 4-7 XXXP 1/16 0.00135 KK 无 60 IR
H 5-7 XXXP 1/16 0.0027 KK 无 25 IR
I 2-7 XXXP 1/16 0.004 K 无 25 IR & TC
J 5-10 环氧 1/16 0.0027 K 无 25 IR
K 4-7 XXXP 1/16 0.00135 KK 无 25 IR
L 5-10环氧1/32 0.00135 K 无 25 IR
M 4-10环氧1/16 0.00135 K 无 25 TC
N 2-7 XXXP 1/16 0.00067 K 无 25 IR
O 5-10环氧1/32 0.00135 KK 无 25 IR
P 4-10环氧1/16 0.00135 K 涂覆0.005″的环氧树脂 25 IR
Q 2-7 XXXP 1/16 0.00135 K 涂覆0.002″的绝缘漆 25 IR
R 5-7 XXXP 1/16 0.0027 K 喷涂0.001″的硅酮 25 IR
S 4-7 XXXP 1/16 0.00135 K 涂覆0.003″的绝缘漆 25 IR
T 2-7 XXXP 1/16 0.0027 K 涂覆0.006″的硅树脂 25 IR
U 2-7 XXXP 1/16 0.00135 K 250ºC 10s浸焊 25 IR
V 2-7 XXXP 1/16 0.0027 K 250ºC 10s浸焊 25 IR
W 10-7 XXXP 1/16 0.00135 K 250ºC 10s浸焊 25 IR
X 5-10环氧1/8 0.0027 K 浸焊并涂覆0.005”环氧树脂 25 IR & TC
Y 4-7 XXXP 1/16 0.00135 K 250ºC 10s浸焊 25 IR
Z 2-7 XXXP 1/16 0.0027 K 250ºC 10s浸焊 25 TC
1 5-7 XXXP 0.00135 在无空气环境中去除导体的芯板(CRFAIR) 25 IR
2 6-16 G-5 0.00135 (CRFAIR) 25 IR
3 2-7 XXXP 0.00135 (CRFAIR) 25 IR
4 5-7 XXXP 0.0027 (CRFAIR) 25 IR
5 2-7 XXXP 0.0027 (CRFAIR) 25 IR
6 2-7 XXXP 0.0027 (CRFAIR) 25 IR
7 4-10环氧 0.00135 (CRFAIR) 25 IR
1. K表示单面覆箔而KK表示双面覆箔。
2. IR为电阻变化测量;TC为热电偶测量。
2003年5月 IPC-2221A
107

图B-4是 帮助说明现有的内层导体图表与从
任务组研究的结果之间的不一致的。电流是施
加到一块印制板结构中相同尺寸的导线上的。
在所有情况中的唯一区别是板材的热学性能。
IPC的△T或T差是用代表IPC内层导体图表的等
式确定的。这表明了使用外层导体图表中的电
流值的一半的保守性。酚醛、被称作XXXP、由
于它是最初被用于制作现有图表的、因而也包
含在内。
图B-5给出了从空气和真空测试得到的结果。
这有助于说明导体在真空中比在空气中的运行
温度高多少。存在的差异足以说明各种环境条
件下的部分。
IPC-2221a-b-2
图B-2 IPC-2221A 外层导体图
IPC-2221a-b-3
图B-3 印制板厚度
IPC-2221A 2003年5月
108

5 热学管理
给电气导体确定尺寸将是热学管理的主题。设
计对具体设计的热学要求为基础、对导体尺寸
缩小或加大将具有灵活性。通过使用确定导体
尺寸的新方法学、设计具有灵活性是可行的。
在新标准中将介绍方法学。
6 新标准的出版
IPC-2152的初稿计划在2003年第三季度供讨
论。 图12-7续. 10层板示例
IPC-2221a-b-4
图B-4 印制板材料
IPC-2221a-b-5
图B-5 在空⽓/真空环境中
2003年5月 IPC-2221A
109