KE-2070_80_80R_Operation_Manual2_Rev10_C - 第223页
操作手册 II 3-3 3-2 生产画面 3-2-1 生产画面的启动 在主画面上选择“生产 ”/“基板生产”,或选 择命令按钮的“生产(基 板生产)”,则显示如下 的生产条件设定画面。 请指定生产条件(参见“3-2-2 生产条件画面”)。 3-2-2 生产条件画面 启动生产,则显示设置生产条件的画面。 ● 设置个别项目:选择“基板生产” 、 “试打” 、 “空打” , 分别设置具体条件。 ● 设置共同项目:与“基板生产” 、 “试打” …

操作手册 II
3-2
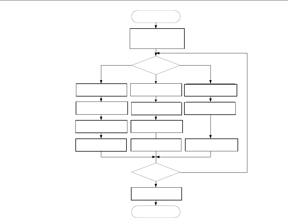
3-1-2 生产流程
START
生産条件を
選択して起動
終了
生産条件?
生産条件設定
部品数設定
基板生産 空打
空打条件設定試打条件設定
部品数設定
試打
終了か?
実行モード指定
END
空打試打
基板生産
N
Y
実行モード指定 実行モード指定
选择生产条件
并启动
设定生产条件
设定空打条件
指定运行模式
指定运行模式
试打
空打
设定试打条件
设定元件数
设定元件数
试打
基板生产
空打
结束?
结束
指定运行模式
生产条件
?

操作手册 II
3-3
3-2 生产画面
3-2-1 生产画面的启动
在主画面上选择“生产”/“基板生产”,或选择命令按钮的“生产(基板生产)”,则显示如下
的生产条件设定画面。
请指定生产条件(参见“3-2-2 生产条件画面”)。
3-2-2 生产条件画面
启动生产,则显示设置生产条件的画面。
● 设置个别项目:选择“基板生产”、 “试打”、 “空打”, 分别设置具体条件。
● 设置共同项目:与“基板生产”、“试打”、“空打”模式无关,均为共同项目
。
操作手册 II
3-4
3-2-2-1 设置共同项目
1) 计划生产数量
输入计划生产数量。最初显示上一次生产时的计划数量。新设定时显示“1”。若输入“0”时表
明计划生产量为“无限”。
2) 生产基板数量
显示已实际生产的基板数量。生产开始时实际生产数量被重设为0。(继续生产时不重设)
通常,实际生产数量为初始状态(0),若选中操作选项的“生产(显示)”标签上的“累计生产基
板数量”条项时,则显示上一次生产时的实际数量。在该状态下开始生产时,从上一次的实际生
产数量开始累计算到达到预定的生产数量为止。
生产中断、结束时,显示已生产的实际数量。
通过清除生产管理信息,可从头开始计数。
3) 生产条件模式
在个别设定项目中选择生产条件模式时,按基板生产、试打、空打顺序显示。
4) 贴片偏差
某些批次生产的基板出现特有的偏移(因基准孔开孔工序等的误差而导致的偏移)时,在本项中输
入XY的偏移值后,输入的该数值则将成为所有基板的偏移值。
◆未使用BOC标记时: 成为所有的基板贴片的偏移值。
输入的值,成为所有贴片点的偏移值。
◆使用BOC标记时: 成为相对于寻找BOC标记位置的偏移值。即使输入偏移值,贴片结果不会
变化。如果由于基板换批等原因,使BOC标记的绝对位置出现偏移,BOC标
记超出摄像机窗口之外时,请输入偏移值以使BOC标记回到摄像机窗口中
央。
5) 基准销校正
显示是否进行操作选项中所设定的基准销的校正。
当进行基准销校正时,显示根据基准销与从动销的位置而得到的校正角度。
6) 顺序
指定以输入顺序贴片还是以最优化顺序贴片。
未在程序编辑中进行过最优化的数据,不能选择最优化顺序。
初始设定为输入顺序方式,但是,当已制作的生产程序首次在生产画面中显示时,如果进行最优
化,则最优化方式将成为初始设定。
◆输入顺序:按贴片数据输入的顺序进行生产。通常会使生产节拍降低。要进行检查时,请用输
入顺序。
◆优化顺序:按最优化顺序进行生产。通常情况下采用优化顺序生产。
7) 运行模式
运行各生产模式时,有2种运行模式可供选择。