JX-350_使用说明书 - 第339页
第 1 部 基本篇 第 3 章 维护 3- 47 3-9 管道系统图 ( 1 )管道系统图 (主机) a- ( 正气压 ) 工 厂气压 插头 指 状阀 气源处理联件 多 支管 减 压器 减 压器 减 压器 插头 φ8 正 压计 Y 三通 接头 Head 上升 气缸 异 形接头 调 压器 异 形接头 HEAD 正压 传 送电磁 阀 插头 φ4 减 压弯头 减 压弯头 插头 φ8 插头 φ8 插头 φ8 Y 三通 接头 MTS_ IF 面板…

第 1 部 基本篇 第 3 章 维护
3-46
●真空泵分解图
No.
名称
No.
名称
1
内六角螺栓(M6×95)8 根
10
气缸密封圈
2
泵头盖 1
11
气缸
3
连接管
12
内六角螺栓(M8×20)
4
O环 P-10
13
碗型密封圈压板
5
泵头盖 2
14
碗型密封圈
6
密封圈
15
连杆
7
阀挡板
8
吸排气阀
9
气缸板

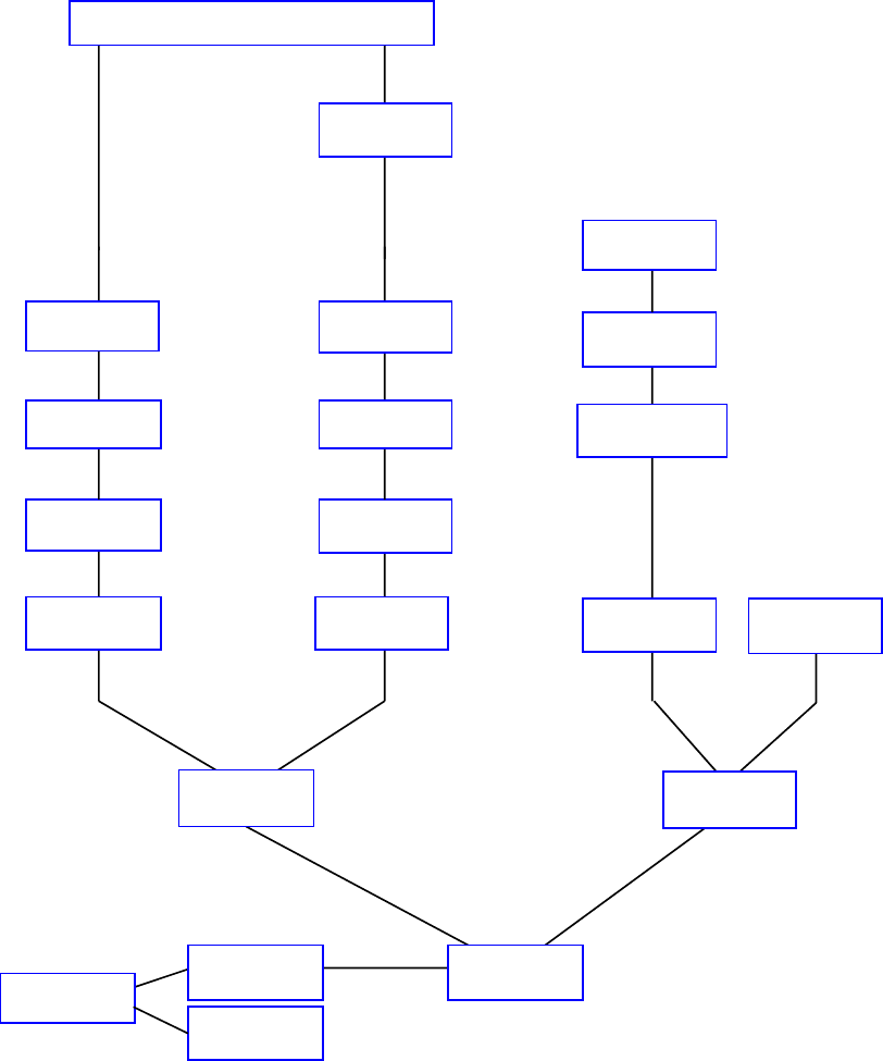
第 1 部 基本篇 第 3 章 维护
3-47
3-9 管道系统图
(1)管道系统图(主机)
a-(正气压)
工厂气压
插头
指状阀
气源处理联件
多支管
减压器
减压器
减压器
插头φ8
正压计
Y三通接头
Head上升气缸
异形接头
调压器
异形接头
HEAD 正压
传送电磁阀
插头φ4
减压弯头
减压弯头
插头φ8
插头φ8
插头φ8
Y三通接头
MTS_IF面板
驱动气缸
前侧
Y三通接头
Y三通接头
台架升降机(OP)
切带器(OP)
Y三通接头
Y三通接头
【OUT】
【IN】
直通接头
直通接头
直通接头
直通接头
XPlarail
XPlarail
YPlarail
YPlarail
Y三通接头
ATC
CAL
减压弯头
车间推车气压
前侧
车间推车气压
后侧
驱动气缸
后侧
(OP)
(OP)

第 1 部 基本篇 第 3 章 维护
3-48
b-负压
XPlarail
真空泵
弯头
直通接头
直通接头
直通接头
直通接头
YPlarail YPlarail
XPlarail
弯头
L侧
HEAD
R侧
XPlarail出口 XPlarail出口
弯头
弯头
检查阀
消音器
减压器
插头φ6
阳螺纹接头
负压计
Y形三通接头
Y形三通接头
Y形三通接头
弯头
插头