JUKI JX-300LED - 第452页
第 1 部 基本篇 第 4 章 制作生产程序 4-179 可根据元件的外形尺寸,切换放大比例。 ・ 选中放大4倍时: 长边尺寸为 2.25 ~ 1.11mm 时,放大 2 倍显示。 长边尺寸为 1.10 ~ 0.01mm 时,放大 4 倍显示。 ・ 不选中放大4倍时: 长边尺寸为 2.25 ~ 0.01mm 时,放大 2 倍显示。 ◆ 贴片跟踪时的示教操作流程 搭載座標 XYエディットボックス に入力フォーカス またはHOD デバイ…

第 1 部 基本篇 第 4 章 制作生产程序
4-178
6) 跟踪时的坐标示教
当跟踪的坐标与实际不一致时,可用示教按钮或HOD操作进行贴片坐标的示教。
<步骤>
① 将光标移动到 X 或 Y 坐标上。
② 按示教按钮或 HOD 装置键,进行坐标示教,然后按 ENTER 键确定。
图 4-5-4-4-9 示教中(面板)
图 4-5-4-4-10 示教中(HOD)
③ 要使确定的坐标值有效时,按<设定>或再次按下 ENTER。
要还原坐标时,按<取消>或CANCEL。
在操作选项中设定 [放大数字]时,可将像机拍摄的图像放大在 VCS 监视器上显示。
在上述步骤中,按下示教面板的 WINDOW 按钮或 HOD 的 WINDOW 键时,通常可转入窗口示
教。
继续再次按下 WINDOW 键时,则切换为放大显示的示教窗口。
元件外形尺寸的长边为 2.26mm 以上时,不论操作选项的设定如何,都不会放大显示。
而且,贴装角度 + 电路角度为 0 / 90 / 180 / 270°以外时,也不会放大显示。

第 1 部 基本篇 第 4 章 制作生产程序
4-179
可根据元件的外形尺寸,切换放大比例。
・
选中放大4倍时:
长边尺寸为 2.25~1.11mm 时,放大 2 倍显示。
长边尺寸为 1.10~0.01mm 时,放大 4 倍显示。
・
不选中放大4倍时:
长边尺寸为 2.25~0.01mm 时,放大 2倍显示。
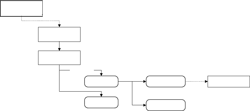
◆ 贴片跟踪时的示教操作流程
搭載座標
XYエディットボックス
に入力フォーカス
またはHOD
デバイスキー押下
ENTER
CANCEL
ティーチング操作
[設定」ボタンまたは
ENTERを押す
搭載データ変更
[取消]ボタンまたは
CANCELを押す
座標確定後
ティーチングボタン
贴片坐标
将输入焦点放在
XY 编辑框里
按
下示
教按
钮
或
HOD
装置键
示
教操作
确定
坐
标后
按
下“设
定
”
按
钮
或 ENTER
按
下“取
消
”
按
钮
或 CANCEL
变
更
贴片数
据

第 1 部 基本篇 第 4 章 制作生产程序
4-180
(4)坐标类:吸取位置/吸取高度
使用摄像机跟踪吸取位置。确认监视器中显示的吸取位置,当输入坐标不准确时,可通过示教进
行修正。
此外,可以使用HMS(选购件)跟踪吸取高度。此时,监视器上依次显示从HMS获得的检测值。
当高度有明显差异时,请与坐标示教一样,进行高度值示教。
◆ 吸取位置(高度)跟踪的流程
マシン操作メニュー
吸着位置/吸着高さ
吸着追尾
の条件設定
吸着位置(高さ)追
尾の実行
モニターにて座標
/HMS検出値を目視
ティーチング
各座標の修正を反映
各座標の修正
選択
各吸着データ座標へ移動
実行
1) 设置条件
从菜单栏中选择“机器操作”/“确认”/“坐标类”/“跟踪吸取位置”,显示如下画面。
图 4-5-4-4-11 吸取坐标位置摄像机跟踪
选择
执行
向各吸取数据坐标移动
反映各坐标的修正
示教
在监视器上目检
坐标/HMS 检出值
修正各坐标
执行吸取位置
(高度)跟踪
设置吸取跟
踪的
条件
机器操作菜单
吸取位置/吸取高度