JUKI JX-300LED - 第462页
第 1 部 基本篇 第 4 章 制作生产程序 4-189 7) 在跟踪吸取高度时在各点的运行 ① 跟踪吸取高度的条件设定为 “与测量值间有差异则停止” 时 测量值一旦出现差异,即会显示如下信息。 自动传送时会停止,遇此情况时,请确认吸取数据的高度值。 ② 跟踪吸取高度的条件设定为 “如果无法测量则停止” 时 当无法使用HMS测量时,即会显示如下对话框。 自动传送时会停止,遇此情况时,请确认吸取数据的吸取位置。 ③ 吸取高度跟踪的条件设定…

第 1 部 基本篇 第 4 章 制作生产程序
4-188
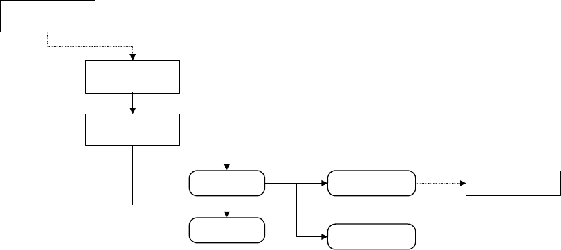
◆ 吸取跟踪中的示教操作流程
搭載座標
XYエディットボックス
に入力フォーカス
またはHOD
デバイスキー押下
ENTER
CANCEL
ティーチング操作
[設定」ボタンまたは
ENTERを押す
搭載データ変更
[取消]ボタンまたは
CANCELを押す
座標確定後
ティーチングボタン
吸取坐标
将输入焦点放在
XYZ 编辑框里
按
下示
教按
钮
或
HOD 装置键
示
教操作
确定
坐
标后
按
下“设
定
”
按
钮
或 ENTER
按
下“取
消
”
按
钮
或 CANCEL
变
更
贴片数
据

第 1 部 基本篇 第 4 章 制作生产程序
4-189
7) 在跟踪吸取高度时在各点的运行
① 跟踪吸取高度的条件设定为“与测量值间有差异则停止”时
测量值一旦出现差异,即会显示如下信息。
自动传送时会停止,遇此情况时,请确认吸取数据的高度值。
② 跟踪吸取高度的条件设定为“如果无法测量则停止”时
当无法使用HMS测量时,即会显示如下对话框。
自动传送时会停止,遇此情况时,请确认吸取数据的吸取位置。
③ 吸取高度跟踪的条件设定为“取得测量值”时
会显示画面,询问是否把使用HMS测量结果加入到吸取数据的Z坐标中。
要加入时,请按下“是”。
④ 吸取高度跟踪的条件设定为“用摄像机确认位置”时
VCS监视器会显示吸取位置,若出现以下询问时,请目视进行确认。如果位置正确,请按 “是”。
要用示教改变吸取位置时,请按“否”,并进行示教操作。

第 1 部 基本篇 第 4 章 制作生产程序
4-190
8) 跟踪时的 SOT 方向检查(选项)
在跟踪暂停时,可进行SOT方向检查。
在SOT方向检查中,显示如下画面。
SOT方向检查后,检查结果显示“OK”或“NG”。
9) 跟踪时的自动示教
跟踪暂停时,可进行自动示教。
自动示教时,会出现下列 5 种错误/询问。
①尺寸异常时
空洞(Cavity)指的是,装元件的凹槽。元件尺寸与空洞(凹槽)尺寸相比显得异常时,显示
如下错误提示。
②浓度异常时
空洞(凹槽)影子浓度异常时,显示如下错误提示。