KE2020取扱説明書VER.2.01.和文Rev.08.pdf - 第562页
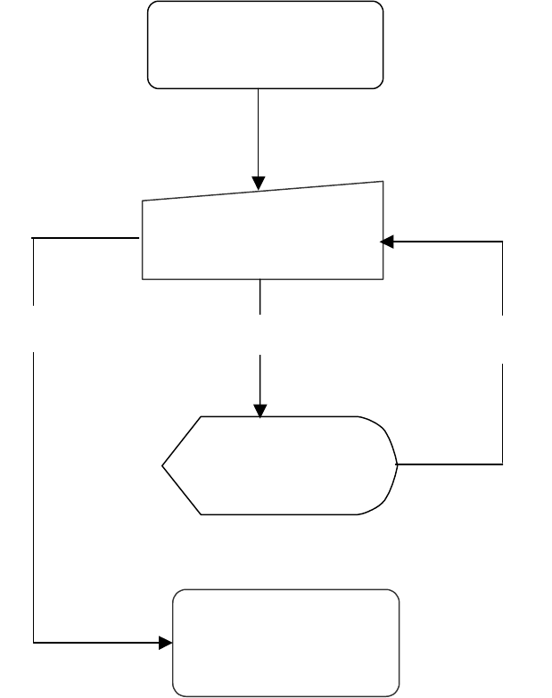
7 - 135 7-7-3-4-2. 連続検査シーケンス 連続検査シーケンス 連続検査シーケンス 連続検査シーケンス 連続検査の機能を以下に示します。 …

7 - 134
検査部品選択
検査部品選択検査部品選択
検査部品選択
(ダイヤログ)
(ダイヤログ)(ダイヤログ)
(ダイヤログ)
実行中
実行中実行中
実行中
ダイヤログ表示
ダイヤログ表示ダイヤログ表示
ダイヤログ表示
図
図図
図
方向単独検査シーケンス
方向単独検査シーケンス方向単独検査シーケンス
方向単独検査シーケンス

7 - 135
7-7-3-4-2.連続検査シーケンス
連続検査シーケンス連続検査シーケンス
連続検査シーケンス
連続検査の機能を以下に示します。
1.検査実行の可否チェック、
使用装置の使用可否チェック
生産プログラムの完成可否チェック
チェックエラー時はエ
ラー表示
2.初期化
単独検査開始
ドライバ初期化など
1.検査実行部品の選択
部品選択
2.部品情報の表示
ダイアログ表示
検査対象部品がない時
はエラー表示
1.部品情報の表示
2.吸着位置の表示
3.吸着位置の微調整
ティーチング手入力による微調整
吸着データへの調整値反映有無
4.吸着部品の選択
代替フィーダーへの変更
5.フィーダーのノック制御
6.検査結果の表示
検査実行
7.
SOT
方向検査実行
ダイアログ表示
1
.
部品吸着制御
2
.SOT
方向検査実行制御
SOT
方向検査
3.部品返却制御
1.終了処理
単独測定終了
ドライバ終了など
単独検査シーケンスを図
に示します。

7 - 136
検査条件設定
検査条件設定検査条件設定
検査条件設定
(ダイヤログ)
(ダイヤログ)(ダイヤログ)
(ダイヤログ)
該当部品チェック
該当部品チェック該当部品チェック
該当部品チェック
実行中(結果)
実行中(結果)実行中(結果)
実行中(結果)
ダイヤログ表示
ダイヤログ表示ダイヤログ表示
ダイヤログ表示
図
図図
図
方向連続検査シーケンス
方向連続検査シーケンス方向連続検査シーケンス
方向連続検査シーケンス