KE2020取扱説明書VER.2.01.和文Rev.08.pdf - 第778页
13 - 38 13-13-7. 生産 生産 生産 生産 コプラナリティ・チェックは基板生産、試打、空打時において実行されます。 ☆ 空打については実際の検査は行ないません。 13-13-7-1. コプラナリティチェック手順 コプラナリティチェック手順 コプラナリティチェック手順 コプラナリティチェック手順 ① 対象部品のピック ② VCS 位置へ移動 ③ VCS による画像認識 ④ コプラナリティセンサ計測開始位置に移動 ⑤ コプラナ…

13 - 37
図
図図
図 13-13-6-2 コプラナリテイ検査画面
コプラナリテイ検査画面コプラナリテイ検査画面
コプラナリテイ検査画面
1) マウンターの初期値を使用する場合、デフォルト値 0.00 で使用下さいユーザー設定値が
入った場合はそっちを使用します、現在のマウンターの初期値は 0.10mm です。
確定したら,<OK>を押下します。また,設定を行わない場合は,<キャンセル>
を押下します。
レーザー光を受光する際
のオートゲインコントロ
ールです。
通常は設定値“3”のまま
で使用してください。
コプラナリティを計測するリード先端
からの位置の設定です。(単位 mm)注
1
コプラナリティ判定値:
(単位
mm
)
電極サイズの幅、長さはデフォルトは“0”が設定されています。
この時、ビジョンデータのリード幅は、ビジョンデータピッチの
40%が設定され、リード長さはビジョンデータで設定された値の
50%で測定されます。(リード部品のみ設定可能です。)
リード表面状態が極端に光沢があ
る場合は、<光沢あり>、
極端にくすんでいる場合は、
<光沢なし>を設定してくださ
い。
(
リード部品のみ設定可能です。
)
レーザーを端子に照射し、端子の反射光から高さを計
算します。
「リード明るさしきい値」は、端子の反射光に対し周辺
のノイズをカットするための閾値です。
通常は“40”を設定してください。
端子が暗めの場合は“20”または“30”を明るめの
場合は“50”、または“60”を設定してください。
レーザーの強度です。
通常は“7”を設定して
ください。
測定位置高さに対するオフセットです。
通常は“
0
”を設定してください。(単位
:mm
)
測定モードの設定です。
自動設定の場合。
<13-13-3 項の (3) 測定モード
部品寸法>
の表に従い、走査モードを自動的に設定しま
す。

13 - 38
13-13-7. 生産
生産生産
生産
コプラナリティ・チェックは基板生産、試打、空打時において実行されます。
☆ 空打については実際の検査は行ないません。
13-13-7-1.コプラナリティチェック手順
コプラナリティチェック手順コプラナリティチェック手順
コプラナリティチェック手順
① 対象部品のピック
② VCS 位置へ移動
③ VCS による画像認識
④ コプラナリティセンサ計測開始位置に移動
⑤ コプラナリティ検査実行可能部品であるか否かのチェック
⑥ 画像認識結果による位置補正
⑦ 部品のコプラナリティ検査
⑧ コプラナリティセンサ計測結果による合否判定
[合否判定後の処理]
⑧_1 部品廃棄
⑧_2 部品搭載
⑧_3 一時停止
図
図図
図 13-13-7 処理フロー
処理フロー処理フロー
処理フロー
対象部品吸着
VCS
位置へ
移動
VCS
による画像認識
コプラナリティセンサ位置へ移動
部品チェック
コプラナリティ
検査
合否判定
終了
部品位置補正
①
②
③
④
⑤
⑥
⑦
⑧
L
次頁:コプラナリティユニット
次頁:コプラナリティユニット次頁:コプラナリティユニット
次頁:コプラナリティユニット
の検査の流れ
の検査の流れの検査の流れ
の検査の流れ
[
[[
[図
図図
図 13-13-7(1)]
]]
]参照
参照参照
参照

13 - 39
■ コプラナリティユニットの検査の流れ
コプラナリティユニットの検査の流れコプラナリティユニットの検査の流れ
コプラナリティユニットの検査の流れ
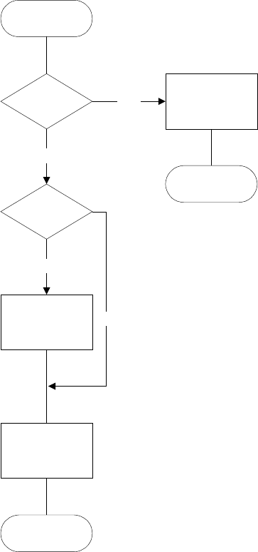
図
図図
図 13-13-7(1) 処理フロー(コプラナリティ検査の流れ
処理フロー(コプラナリティ検査の流れ処理フロー(コプラナリティ検査の流れ
処理フロー(コプラナリティ検査の流れ
START
BGAか?
コリニアリティ
検査(注2)
コプラナリティ
検査(注1)
はい
一方向リード
コネクタか?
コプラナリティ
検査(注3)
いいえ
いいえ
はい
END
END
注1)BGA、FBGAのコプラナリティ検査は、最小自乗平面法のみです。
注2)コリニアリティ検査は一方向リードコネクタでは実施しません。
注3)一方向リードコネクタのコプラナリティ検査は現状コリニアリティ検査と同様です。