JM-10_EPU使用说明书 - 第130页
EPU 使用说明书 第 4 章 制作生产程序 4- 84 (8) 测量 进行有关“贴片前元件高度检查”、“元件方向判别的设置”、“元件插入 异常检测”的 设置。 图 4-1-5-2-13 元件数据(测量 ) 1 ) 贴片前元件高度检 查 本项功能,用于 在元件贴片前使用 HMS 进行贴片点有 无异物的检 查。 插入元件贴片时,如果插入失败,元件可能会翻倒到下一个贴片点上。为了避免在翻 到的元件上继续进行元件贴片、损坏元件或吸嘴,可使用本…

EPU 使用说明书 第 4 章 制作生产程序
4-83
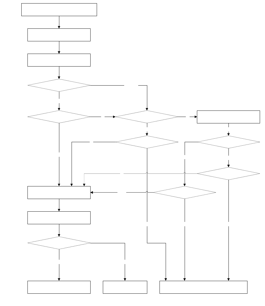
HMS 测定动作的流程如下所示。
测定成功?
START
(通过从径向供料器的吸取判定无元件)
重新吸取
不能测定
送料
吸取次数<=重试次数
Yes
设定夹紧ON时,夹紧
移动到元件有无测定位置的第1点
错误原因
“元件用完”
No(重试超限)
错误原因
“元件用完(吸取错误)”
有元件?
测定成功
无
设定夹紧ON时解除夹紧
测定成功?
有 是
不能测定
有元件?
测定成功
無し
有
不能HMS测定时?
有
无
检查个数为「2」?
移动到元件有无测定位置的第2点
是
无
不能HMS测定时?
无
有
否
无

EPU 使用说明书 第 4 章 制作生产程序
4-84
(8) 测量
进行有关“贴片前元件高度检查”、“元件方向判别的设置”、“元件插入异常检测”的
设置。
图 4-1-5-2-13 元件数据(测量)
1) 贴片前元件高度检查
本项功能,用于在元件贴片前使用 HMS 进行贴片点有无异物的检查。
插入元件贴片时,如果插入失败,元件可能会翻倒到下一个贴片点上。为了避免在翻
到的元件上继续进行元件贴片、损坏元件或吸嘴,可使用本项功能。对非插入元件也
可使用,在贴片前检查元件贴片点上有无异物。
对检查个数的测量位置进行测量,如果任何一处测量位置超过判定值,则判定为存在
异物,会停止生产。

EPU 使用说明书 第 4 章 制作生产程序
4-85
以相对于基板数据的基板高度为判定值。
输入的测量位置偏移值,应以从贴片点开始的偏移为指定值。
测量位置的偏移值与检查点的对应关系如下图所示。
图 4-1-5-2-14 偏移值与贴片点的关系
※进行上述检查时,由于要对同一元件的全部贴片点进行检查,会影响节拍。
将检查设置为[执行]时的默认值,可在编辑程序的环境设置中设置。
默认值为:检查个数 4、判定值 0.5、偏移 X 90(%)、偏移 Y 90(%)。
◆限制事项 1
测量点在基板图形的分界线上时,无法使用 HMS 正确检测。会倾向于检测出比实际测
量点的高度高一些的数值。
因此请微调测量位置,使图形的分界线上不会出现测量点。
选择[执行]
后,即设置默
认值。
画面上显示元件及
检查位置。
测量位置 3 测量位置 4
测量位置 1 测量位置 2
偏移值