KD-2077_使用说明书 - 第298页
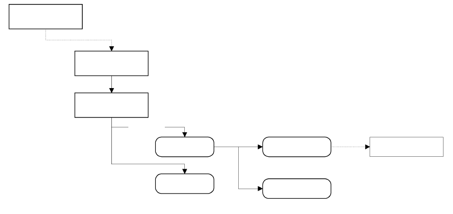
第 1 部 基本篇 第 4 章 制作生产程序 4 - 92 4-5-4-2-3 坐标类:点胶位置 通过摄像机跟踪点胶位置。确认监视器中显示的点胶位置,当输入坐标不准 确时,可通过示教 进行修正。 < 点胶位置跟踪的流程 > マシン操作メニュー 塗布位置 塗布位置カメラ追尾 の条件設定 塗布位置カメラ追尾 実行 モニターにて座標を 目視 HODによるティー チング 各座標の修正を反 映 各座標の修正 選択 各塗布 データ座標へ 移動 実…

第 1 部 基本篇 第 4 章 制作生产程序
4
-
91
◆ 贴片跟踪时的示教操作流程
贴片坐标
向 XYZ 编辑箱中
输入焦距
按下 HOD 设备键
示教操作
确定坐标后
ENTER
CANCEL
按下「设定」按钮
或 ENTER
按下「取消」按钮
或 CANCEL
变更贴片数据

第 1 部 基本篇 第 4 章 制作生产程序
4
-
92
4-5-4-2-3 坐标类:点胶位置
通过摄像机跟踪点胶位置。确认监视器中显示的点胶位置,当输入坐标不准确时,可通过示教
进行修正。
<
点胶位置跟踪的流程
>
マシン操作メニュー
塗布位置
塗布位置カメラ追尾
の条件設定
塗布位置カメラ追尾
実行
モニターにて座標を
目視
HODによるティー
チング
各座標の修正を反
映
各座標の修正
選択
各塗布
データ座標へ移動
実行
机器操作菜单
点胶位置
选择
设置点胶位置摄像机
跟踪的条件
执行
执行点胶位置
摄像机跟踪
反映各坐标的
修正
向各点胶
数据坐标移动
用监视器目视检查
坐标
用 HOD 进行
示教
各坐标的修正

第 1 部 基本篇 第 4 章 制作生产程序
4
-
93
1) 设置条件
从菜单栏中选择「机器操作」/「确认」/「坐标类」/「点胶位置」,显示如下画面。
图 4-5-4-2-3-1 点胶坐标位置摄像机跟踪
①
传送方法
(1)自动传送
以一定的间隔,依次使用摄像机捕获点胶的位置。仅在以下的「自动传送间隔」中设定
的时间中停止,经过该时间后移动到下一点。
●
自动传送间隔:
调整停止间隔。设定范围为 0.01 秒~5 秒。
(2)
手动传送
按 HOD 的[NEXT]键或<开始>开关,移动到下一点。
②跟踪
范围
将点胶
数据的第几点到第几号作为跟踪范围的进行输入。初始设定为对所有点胶点进行跟
踪。
设定所
有的跟踪条件,准备结束后按<开始>开关或者「执行」。
按下「关闭」,返回前一画面。