KD-2077_使用说明书 - 第305页
第 1 部 基本篇 第 4 章 制作生产程序 4 - 99 4-5-4-3 管理 对用「 示教」进行标 记数据示教 时所注册的标 记数据的数 据库文件 , 进行各种管理。 标记数据数 : 最多 可以登录 100 个 数据 。 4-5-4-3-1 管理:标记数据库 对于标记数据示 教时所注 册的标记数据的 数 据库文件 , 进行 各种管理 。 从菜单栏中选择 「 机器操作 」 / 「管理」 / 「管 理」 / 「标记数据库」 ,显示如 下…

第 1 部 基本篇 第 4 章 制作生产程序
4
-
98
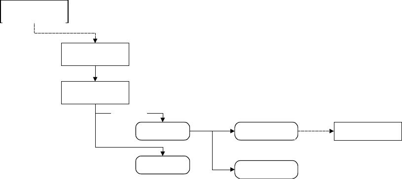
点胶跟踪时的示教操作流程
塗布座標
XYエディットボックス
に入力フォーカス
HOD
デバイスキー押下
ENTER
CANCEL
ティーチング操作
[設定」ボタンまたは
ENTERを押す
接着データ変更
[取消]ボタンまたは
CANCELを押す
座標確定後
点胶坐标
向 XYZ 编辑箱中
输入焦距
按下 HOD 设备键
示教操作
确定坐标后
ENTER
CANCEL
按下「设定」按钮
或 ENTER
按下「取消」按钮
或 CANCEL
变更点胶数据

第 1 部 基本篇 第 4 章 制作生产程序
4
-
99
4-5-4-3 管理
对用「
示教」进行标记数据示教时所注册的标记数据的数据库文件,进行各种管理。
标记数据数:
最多可以登录 100 个数据。
4-5-4-3-1 管理:标记数据库
对于标记数据示教时所注册的标记数据的数据库文件,进行各种管理。
从菜单栏中选择「机器操作」/「管理」/「管理」/「标记数据库」,显示如下画面。
图 4-5-4-3-1-1 标记数据库管理
(1) 已注册的标记数据
列表中显示在数据库中储存的标记数据。各项目的含义如下。
项目 含义
名称
标记的名称
(在文字前面显示形状)
更新日期 在数据库注册的日期
尺寸
标记数据的纵横像素数(像素数,1mm=约 77 像素)
aaa x bbb
aaa = 横方向的像素数
bbb
= 纵方向的像素数
极性
标记的显示方式
正色 = 黑底白标记
反色 = 白底黑标记
Scale(比例)
标记的图像数据 scale(比例)
多值化 = 标记数据采用多级图像
二值化 = 标记数据采用 2 级图像
照明图案
标记识别的照明图案
标准:采用标准的照明图案
阻剂/保护膜:采用阻剂/保护膜的照明图案
用户:采用用户自定义的照明图案

第 1 部 基本篇 第 4 章 制作生产程序
4
-
100
2) 管理
① 名称变
更
可变更已
注册的名称。将光标对准列表内想变更的数据所在的行,按下「修改标记数
据文件名」按钮。
显示如
下的设定画面。请输入新的名称。
图 4-5-4-3-1-2 标记数据名称变更
② 删除
可删除
已注册的数据。将光标对准列表内想删除的数据所在的行,按下「删除」按钮。
显示如下的设定画面。请按下「OK」按钮。
图 4-5-4-3-1-3 删除确认