JX-100_程序员、管理员.pdf - 第242页

第 3 章 生产 第 3 章 生产 3- 1 概要 使用已制作的生产程序,检查贴片和生产。 制作完新程序后,在实际生产前需要进 行试生产,确认贴片坐标·吸取坐标等,并对新建的 程序进行最后检查。 3-1-1 生产模式 生产中有以下 3 种生产模式。 No. 生产模式 内容 1 基板生产 指定生产数量,实际生产基板的模式。 2 试打 试生产模式。 可选择吸取位置追踪和贴片后的贴片位置追踪。 ※ 1 3 空打 不使用元件而确认吸取贴片动作的…

100%1 / 427
2 制作生产程序
2-5-7 退出编辑程序
从菜单栏中单击「文件」/「退出」。
2-5-7-1 退出编辑程序
如果程序中有所变更而尚未保存时,显示如下信息。
2-5-7-2 退出时确认保存的对话框
●“是” :进行保存。保存后退出程序编辑。
●“否” :不进行保存而退出程序编辑。
●“取消”:停止结束处理。
2-185
3 生产
3 生产
3-1 概要
使用已制作的生产程序,检查贴片和生产。
制作完新程序后,在实际生产前需要进行试生产,确认贴片坐标·吸取坐标等,并对新建的
程序进行最后检查。
3-1-1 生产模式
生产中有以下 3 种生产模式。
No. 生产模式 内容
基板生产 指定生产数量,实际生产基板的模式。
试打
试生产模式。
可选择吸取位置追踪和贴片后的贴片位置追踪。
1
空打
不使用元件而确认吸取贴片动作的模式。
可选择吸取位置追踪和贴片后的贴片位置追踪。
1
1:参见说明书第 4 章“4-5-4-4 确认”的贴片位置追踪与吸取位置追踪。
可在基板的生产、试打、空打模式中,分别设置生产条件、试打条件及空打条件。
3-1
3 生产
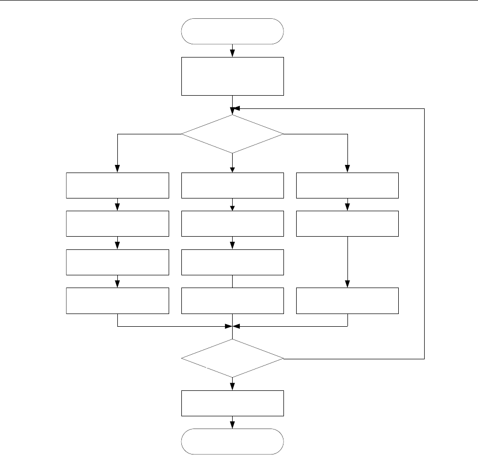
3-1-2 生产流程
START
生産条件を
選択して起動
終了
生産条件?
生産条件設定
部品数設定
基板生産 空打
空打条件設定試打条件設定
部品数設定
試打
終了か?
実行モード指定
END
空打試打
基板生産
実行モード指定
実行モード指定
3-1-2-1 生产流程示意
选择生产条件
并起动
设置试打条件
指定运行模式
试打
空打
设置元件数
试打
基板生产
空打
结束?
结束
生产条件?
生产基板
设置生产条件
设置空打条件
指定运行模式
指定运行模式
设置元件数
3-2