00191623-01.pdf - 第272页
8 Termék / NYÁK lap Üzemeltetési Útmutató, UNIX gépsorvezérlő számí tógép 8.1 Leiterplatten-Editor (NYÁK lap s zerkesztő) 501. x x jelű szoftver változat 99/1-es k iadás 8 - 30 8.1.4.2 DIENSTE (SZOLGÁL T A T ÁSOK) menü -…

Üzemeltetési Útmutató, UNIX gépsorvezérlő számítógép 8 Termék / NYÁK lap
501.xx jelű szoftver változat 99/1-es kiadás 8.1 Leiterplatten-Editor (NYÁK lap szerkesztő)
8 - 29
8.1.4.1 EDITIEREN (SZERKESZTÉS) menü
- NU-adatok visszaállítása (Zurücksetzen)
A megfelelő LP-típusra már meglévő beírásokat ki lehet törölni a szerkesztő területből.
● Kattintson rá a EDITIEREN --> Reset NU (SZERKESZTÉS --> NU visszaállítása) pontra.
A szerkesztő terület üres, új adatokat lehet beírni.
TÁJÉ KOZ TATÁS
Ha az LP-szerkesztőt “Mentés” (“Sichern”) nélkül záródik be, akkor az (LP)NU-szerkesztő újabb
behívásánál a régi adatok újra megjelennek.
- NU laden von (NU-töltés valahonnét)
Ezzel a funkcióval egy másik NYÁK-lap egyik LP-típusáról (egyéni kapcsolás) át lehet tölteni a tábla
adatokat az aktuális LP-típus NU-szerkesztőjébe.
● Ikonok aktív állapotba hozása az aktuális Struktúra-szerkesztő parancsterületében.
● LP-részstruktúra (cél) kijelölése.
● Kattintson rá a DIENSTE --> NU-Editor... (SZOLGÁLTATÁSOK --> NU-szerkesztő...) pontra.
Megnyílik az NU-szerkesztő.
● Kattintson rá a DATEI --> Öffnen... (ÁLLOMÁNY --> Megnyitás....) pontra.
Megnyílik az FSB a (forrás)NYÁK-lap kiválasztásához (lásd a 8 - 8 oldalon).
● NYÁK-lap kiválasztása kettős kattintással.
Megnyílik az új Struktúra-szerkesztő főablaka.
● Rákattintás arra az LP-részstruktúrára, ahonnan az NU-adatokat kell letölteni (forrás)
● EDITIEREN --> NU laden von (SZERKESZTÉS --> NU töltés valahonnét), rákattintás az aktuális
NU-szerkesztőben (cél).
Az alábbi párbeszéd ablak jelenik meg:
● Kattintson rá az OK-ra, ha a műveletet el kell végezni.
Ellenőrzés céljából megnyílik a BP-szerkesztő ablaka.
● Kattintson rá az NU-szerkesztőre (hogy az ablakkötegben felül legyen).
Most megmutatják a betöltött NU-adatokat
Tábla tartalmának másolása
Forrástábla neve: NF_Verst
Ok Mégse

8 Termék / NYÁK lap Üzemeltetési Útmutató, UNIX gépsorvezérlő számítógép
8.1 Leiterplatten-Editor (NYÁK lap szerkesztő) 501.xx jelű szoftver változat 99/1-es kiadás
8 - 30
8.1.4.2 DIENSTE (SZOLGÁLTATÁSOK) menü
- BP-Editor (BP-szerkesztő) megnyitása
● Kattintson rá a DIENSTE --> BP-Editor... (SZOLGÁLTATÁSOK --> BP-szerkesztő...) pontra.
Megnyílik a BP-szerkesztő ablaka (lásd a 8.1.11 ábrát).
8.1.4.3 NU-Editor (NU-szerkesztő) szerkesztő területe
Beviteli lehetőségek:
A méretek x- és y-irányú megadásával határozhatók meg az aktuális LP-típus (tábla) külső határméretei.
A lehetséges beviteli adatok mindig max. 999.999-ig tartanak.
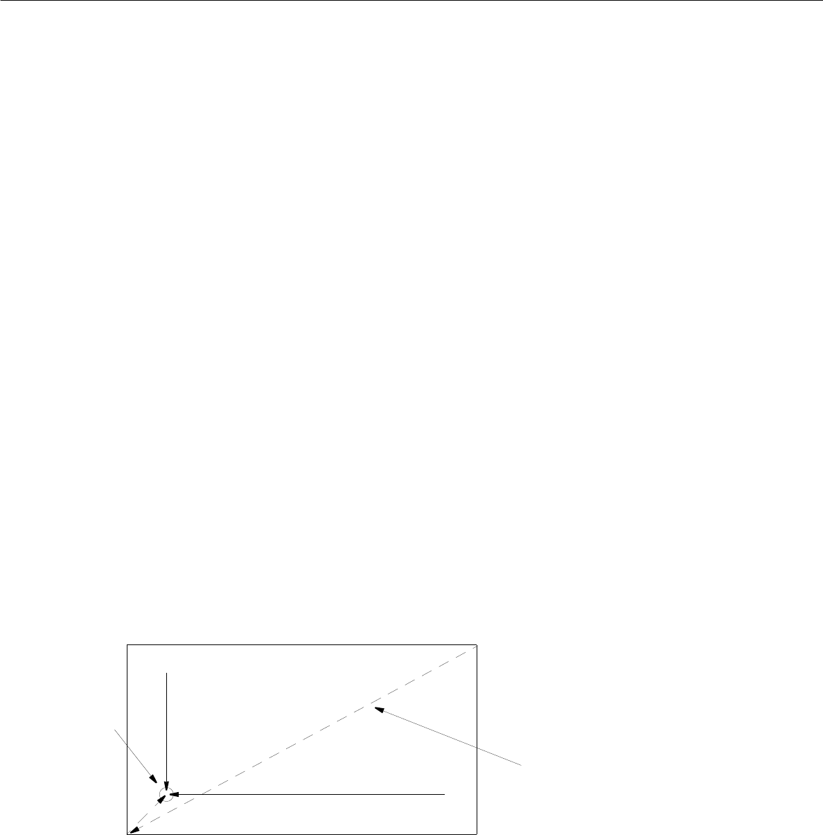
- Vektor (0,0)-->Ecke_1X [mm]: ill.Y [mm]: (Vektor (0,0)-->Sarok_1X [mm]: ill.Y [mm]:
Példa: X = -10.000; Y = -10.000
- Vektor Ecke_1-->Ecke_2X [mm]: ill. Y [mm]: (Vektor sarok_1-->sarok_2X [mm]: ill. Y [mm]:
Példa: X = 80.000; Y = 50.000
- Leiterplatten-Hoehe: h [mm]: (NYÁK-lap- magasság: h [mm]:
Itt vigye be az LP-vastagságot, a beadható szám: 3 tizedesvessző előtti és 3 tizedesvessző utáni
számhely.
- max BE-Hoehentoleranz (Kopl.): [1/1000 mm] (max BE magassági tűrésérték (Kopl.): [1/1000 mm]
Ez a bevitel csak az egysikúság (koplanaritás) méréséhez szükséges.
Beadják a max. BE magassági tűrésértéket; a lehetséges szám max. 999-ig tart.
+ Y
+ X
1-es sarok
2-es sarok
Vektor
0, 0

Üzemeltetési Útmutató, UNIX gépsorvezérlő számítógép 8 Termék / NYÁK lap
501.xx jelű szoftver változat 99/1-es kiadás 8.1 Leiterplatten-Editor (NYÁK lap szerkesztő)
8 - 31
8.1.4.4 NU-Editor (NU-szerkesztő) beállítási tartomány
Előírások a beültető folyamathoz:
- BE-Lage Erkennung: ja / nein (BE-helyzet felismerése: igen / nem
Ha illesztőjeleket definiált egy BE-helyzetfelismeréshez, akkor a BE-helyzetfelismerés “igen” vagy
“nem” (“ja” vagy “nein”) alkalmazásával az aktuális LP-típusnál (tábla) be- illetve kikapcsolható.
- Inkpunkt: ja / nein (Festékpont: igen / nem)
A festékpont-felismerés “ja” vagy “nein” (“igen” vagy “nem”) alkalmazásával az aktuális LP-típusnál
(tábla) be- illetve kikapcsolható.
- LP-Lage Erkennung: ja / nein (LP-helyzetfelismerés: igen / nem)
Az LP-helyzetfelismerés “ja” vagy “nein” alkalmazásával az aktuális LP-típusnál (tábla) be- illetve
kikapcsolható.
- Nutzen auslassen: auslassen (Tábla kihagyása: kihagyás)
Ha ezt a beállítást aktiválják, akkor az aktuális LP-típust (lap) a kiépítésnél kihagyják, amennyiben az
egész LP-t megmunkálják.
Eljárásmód szerkesztéskor:
- A tábla adatok szerkesztése
● Az egérkurzort helyezze el a szerkesztőmezőben, majd a billentyűzettel végezze el az
adatbevitelt.
- Egyes bevitelek másolása (Kopieren) egér segítségével, az NU-szerkesztő szerkesztőmezőiből/
szerkesztőmezőibe, ugyanabban az ablakban vagy egy másik megnyitott NU-szerkesztő-ablakba
● Lenyomott bal oldali egérgombbal húzza rá az egérkurzort a másolandó beírásokra (pontosan az
utolsó karakter végére) és azután engedje el az egérgombot.
Ekkor a megfelelő karakterek sötét színnel meg vannak jelölve.
● A középső egérgomb benyomásával tegye a kurzort az NU-szerkesztőablak mindenkori
szerkesztőmezőjébe, ahová a beviteleket kell beilleszteni, ezután engedje el az egér gombját.
Ekkor megjelennek az átmásolt beírások.