00195427-02_AI_HeadReconfigKitsD1D2_DE EN - 第14页
Montageanleitung Head Reconfiguration Kits SIPLACE D1 / D2 Ausgabe 02/2007 12 1.6 V orbereitende Maßnahmen : Legen Sie für die besteh ende MA-Konfiguration eine Datensicherung de r Maschinendaten an (Hosts.txt, MaData.zi…

Montageanleitung Head Reconfiguration Kits SIPLACE D1 / D2
Ausgabe 02/2007
11
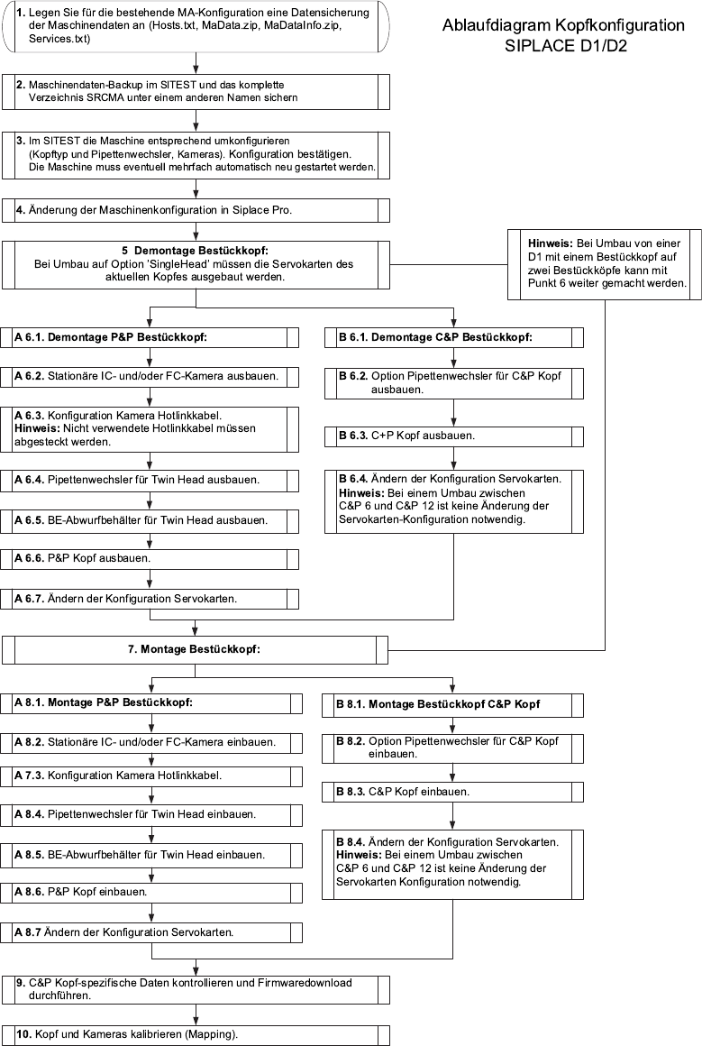
1.5 Ablauf Bestückkopf-Tausch
1

Montageanleitung Head Reconfiguration Kits SIPLACE D1 / D2
Ausgabe 02/2007
12
1.6 Vorbereitende Maßnahmen
: Legen Sie für die bestehende MA-Konfiguration eine Datensicherung der Maschinendaten an
(Hosts.txt, MaData.zip, MaDataInfo.zip, Services.txt)
: Führen Sie das Maschinendaten-Backup im SITEST durch.
Sichern Sie das komplette Verzeichnis SRCMA unter einem anderen Namen.
: Fahren Sie ggf. den BE-Tisch heraus bzw.
fahren Sie den WPC4 heraus und entfernen Sie den Gurtcontainer.
: Demontieren Sie die Gurtabfallrutsche:
Drehen Sie beide Schrauben ca. 8 mm heraus und schieben Sie die Gurtabfallrutsche nach
hinten raus.
1.7 Einbau eines Pick&Place Bestückkopfes
Damit wird eine D1 Single head Maschine (mit C&P-kopf) zu einer D1 umgebaut. 1
1.7.1 Konfiguration des P&P Kopfes mit dem Maschinenkonfigurator
: Starten Sie SITEST und wählen Sie "Einstellungen—Maschinenkonfiguration".
: Stellen Sie im Maschinenkonfigurator den neuen Bestückkopf, die Kameras (Standard-
Kamera Typ 36 / Optional FC-Kamera Typ 25 / IC-Kamera Typ 33) und die Pipettenwechsler
ein.
Speichern Sie die Eingaben!
: Fahren Sie den Rechner herunter.
: Schalten Sie den Bestückautomaten am Hauptschalter aus.
1Detaillierte Anweisungen zur Konfiguration des Bestückkopfs finden Sie in der Online-Hilfe des
SITEST unter Einstellungen / Einstellungen für den Bestückkopf. 1

Montageanleitung Head Reconfiguration Kits SIPLACE D1 / D2
Ausgabe 02/2007
13
1.7.2 Konfiguration des P&P Kopfes mit SIPLACE PRO
: Gehen Sie in 'Rüstung'—'Stellplatz'—'Registerkarte Kopf' ('Setup editor' —'Location'—'head
tab') und tragen Sie den P&P Bestückkopf ein.
1
1
: Optimieren Sie die Rüstung in SIPLACE Pro neu.
1Der Pipettenwechsler für den P&P-Kopf muss als Reihe 2 (Row 2) auf Stellplatz 2 (Location 2)
konfiguriert werden. 1
Bei einer D1S (mit C&P-Bestückkopf) muss beim Stellplatz ohne Bestückkopf jeweils "None" für
Kopftyp (Headtype) und Pipettenwechsler (NozzleChanger) eingetragen werden. 1