00195427-02_AI_HeadReconfigKitsD1D2_DE EN - 第56页
Assembly instructions Head Reconfiguration SIPLACE D1 / D2 Edition 03/2007 54 2.5 Placement head replacement sequence 2

Assembly instructions Head Reconfiguration SIPLACE D1 / D2
Edition 03/2007
53
2.4 Safety instructions
WARNING
The safety instructions from the “Operational safety” chapter of the user man
ual and servicing
instructions take precedence over these instructions. 2
The SIPLACE placement machines are supplied with mains voltage.
Consequently parts of these systems carry dangerous voltages! Th
is voltage is present at certain
modules inside the machine base, even when the machine is switched off at the main power
switch.
Incorrect handling of the placement machine or touching live parts of the machine can result in
death or se
vere injury, and considerable damage to equipment.
BEFORE starting any work, shut down the operating system correctly,
then switch the machine
OFF at the main power switch and disconnect from the main power supply. In addition, the com-
pressed air supply must be switched off at the compressed air unit's main valve in the machine
base and
vented by actuating the needle valve on the compressed air unit.
There is DANGER for heart pacemaker wearers in the vicinity of the linea
r motors, as described
in detail in the "Special safety instructions for working in the vicinity of strong magnetic fields" sec-
tion of the user manual and service manual.
Always follow the accident prevention regulations, DIN or other sta
ndards and special safety
rules applicable in your country.
Pay attention to the information concerning residual voltages in
the Operational Safety chapter.
Follow the ESD regulations as described in the operationa
l safety section of the operating
instructions.
During the retrofit, always secure the machine to prevent access by other people and to prevent
it being switched on
again. The procedure is described in the “Locking the machine…” section of
the user manual.
Working with the SITEST program further increases the risk of accident.
The SITEST program must only be used by authorized and trained personnel. 2
2.4.1 Definitions
PLEASE NOTE 2
CAUTION 2
2
2 2
2
2

Assembly instructions Head Reconfiguration SIPLACE D1 / D2
Edition 03/2007
54
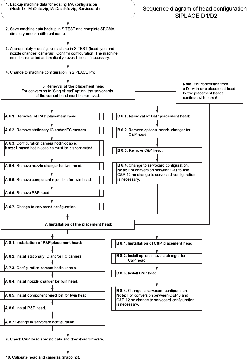
2.5 Placement head replacement sequence
2

Assembly instructions Head Reconfiguration SIPLACE D1 / D2
Edition 03/2007
55
2.6 Preparatory measures
: Back-up the machine data for the existing MA configuration
(Hosts.txt, MaData.zip, MaDataInfo.zip, Services.txt)
: Back-up the machine data in SITEST.
Back-up the complete SRCMA directory under a different name.
: Move out the component table or WPC4 if necessary and remove the tape container.
: Remove the waste chute:
Unscrew both screws about 8 mm and push the waste chute out to the back.
2.7 Installing the Pick&Place placement head
This converts a D1 Single head machine (with C&P placement head) to a D1. 2
2.7.1 Configuring the P&P head using the machine configuration wizard
: Start SITEST and select "Settings—Machine Configuration".
: Set the new placement head and the cameras (Standard-camera type 36 / Optional FC-ca-
mera type 25 / IC-camera type 33) and nozzle changers in the machine configuration wizard.
Save the result!
2
: Shut down the station computer.
: Switch the placement machine off at the main switch.
2Detailed instructions for configuring the placement head can be found in the SITEST online help
under Settings / Settings for the Twin Head. 2