RS-1_FCS使用说明书 - 第11页
FCS 使用说明书 3 • 在日常的运用中 ,利用 “ ①精度确认功能 ” 进行贴装取得 X , Y , θ 的偏移量 ,以确认贴 装精度。 • 使用精度确认功 能时, 先启动 [FCS 画面 ] , ( 利用当前的 贴片综合 偏移量) 设置 [XY 贴片综合偏移 量 ] 的 [ 执行 XY 调整 ] 或 [ 角度贴片综合偏移量 ] 的 [ 执行角度调整 ] ,贴装 0603 C 元件、 模具元件,以 测定元件的安装 状态。 • 根据确…

FCS使用说明书
2
1-2 FCS 的运用
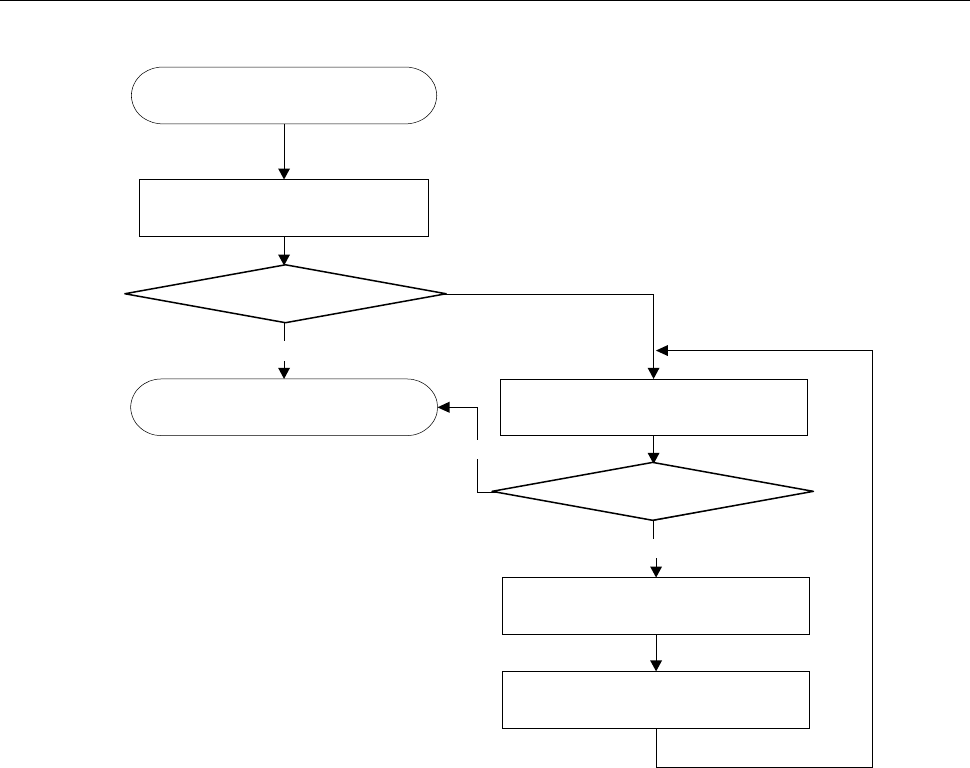
下图归纳了FCS的标准运用方法。
② (OCC オフセット再取得後)
精度調整
START
END
① 精度確認
装着精度は判定値内か?
OK
装着精度は判定値内か?
NG
当該ヘッドの保守の実施
③ 基本オフセット調整
NG
OK
图
1-1 FCS
运用图
* 取得偏移量后,必须利用精度调整功能再次重新取得机器的贴片综合偏移量。
对该贴片头实施维护
开始
①确认精度
贴装精度为判定值内
?
②
(
再取得
OCC
偏移量后)
结束
贴装精度为判定值内?
③基本偏移量调整
FCS使用说明书
3
• 在日常的运用中,利用“
①精度确认功能
”进行贴装取得X,Y,θ的偏移量,以确认贴装精度。
• 使用精度确认功能时,先启动[FCS画面],(利用当前的贴片综合偏移量)设置[XY贴片综合偏移
量]的[执行XY调整]或[角度贴片综合偏移量]的[执行角度调整],贴装0603 C元件、模具元件,以
测定元件的安装状态。
• 根据确认的结果判断贴装精度有变化时,利用“
②精度调整功能
”重新取得贴片综合偏移量。
• 如果重新取得贴片综合偏移量后,贴装精度仍达不到稳定的水准时,
应
对该贴片头实施维护,或者通过“
③基本偏移量调整功能
” 重新取得各种偏移量。
• 请到实行FCS之前进行以下的补正价值的再取得。关于补正价值的取得方法,请参照「MS参数」
使用说明书。
① Head偏移量
② 调整摄像机VCS偏差(只如果实行在视图FCS)
③ VCS复合识别偏移量(只如果实行在54mmVCS视图FCS)
注
1
:
特别是
OCC
偏移量,在日常的运用中装配角度的误差不会增大。但由于
OCC
偏移量的误差不
能用
FCS
功能检测,所以如果重视贴片角度的调整时,建议在实施
FCS
之前重新取得
OCC
偏
移量。
其他具体请参见
“3.
故障分析
”
。
注
2:
在调整摄像机
VCS
偏差以后,请务必重新实施
VCS
复合识别偏移量。
注
3
有关该贴片头的维护,请咨询弊公司服务部门或者代理店。

FCS使用说明书
4
1-3 模具的准备
在FCS生产中,将元件贴装到模具基板上,用OCC识别元件,根据对范围基准标记及元件识别结果
之偏移量,计算出贴片综合偏移量。
这里讲解一下有关对FCS选购件之附属品的检查,模具基板的准备,以及使用模具方面的注意事项。
实施FCS时,除了1.3.1.中记载的附属品之外还需要其他部件,需要时请另行购买。
表
1-1
实施
FCS
所需的部件
品名
数量
货号
吸嘴组件7501 8个 40183421
吸嘴组件7506 1个 40183426
吸嘴组件7508 1个 40183428
0603过滤器 2个 40172071 or 40172072
0603C
2卷
注
1: 0603C
的需要数量
:
432
个以上
/ 1
卷
注
2: 0603C
推荐元件:
村田制作所
注
3: 0603
供料器需要其中的某一种,或者其组合共
2
个