Istruzioni d´uso_HF3_14_it - 第302页
2. Fare clic sul campo di immissione e immettere la distanza per lo spegnimento ritardato in [mm], es. 100 mm. ð A questo punto il sistema di controllo agisce come segue: ð Gli spazi vuoti e le distanze che misurano meno…

Riquadro [Board Infeed]
Utilizzare la seguente impostazione se...
▪ ...il convogliatore a monte si muove più velocemente del convogliatore della
macchina
▪ ...i circuiti stampati di una serie hanno approssimativamente la stessa lunghez-
za.
ü Per impostare la funzione [Length Active]:
1. Attivare il pulsante radio [Length Active].
ð Il colore dello sfondo del campo di input [conv. 1 length] cambia e il dato
può essere modificato.
2. Fare clic sul campo di immissione e immettere la lunghezza del PCB in [mm],
es. 200 mm.
ð A questo punto il sistema di controllo agisce come segue:
ð Se la lunghezza del PCB entrato è inferiore al valore impostato, il controllo
prende come riferimento il valore di [200 mm].
3. Se la lunghezza del PCB entrato è superiore al valore impostato, il controllo
prende come riferimento il valore effettivo.
ð Osservare la seguente figura:
mm
400 300 200 100 0
Lunghezza del materiale di saldatura
riconosciuta dal sensore: 120 mm
Lunghezza del materiale
di saldatura posta dalla
centralina: 200 mm
Lunghezza del materiale di saldatura
riconosciuta dal sensore: 200 mm
Il valore nel campo [conv. 1 lunghezza] corrisponde a 200 mm
Lunghezza del materiale
di saldatura posta dalla
centralina: 200 mm
Lunghezza del materiale di saldatura
riconosciuta dal sensore: 250 mm
Lunghezza del materiale
di saldatura posta dalla
centralina: 250 mm
Lunghezza del materiale di saldatura
riconosciuta dal sensore: 350 mm
Lunghezza del materiale
di saldatura posta dalla
centralina: 350 mm
Fig. 109: Comportamento del rilevamento PCB in fase di impostazione [lunghezza Attivo].
Utilizzare la seguente impostazione se...
▪ ...il convogliatore a monte si muove alla stessa velocità o più lentamente del
convogliatore della macchina
▪ ...i circuiti stampati presentano spazi vuoti e sono distanziati
▪ ...i circuiti stampati di una serie hanno lunghezze differenti.
ü Per impostare la funzione [Off delay Active]:
1. Attivare il pulsante radio [Off delay Active].
ð Il colore dello sfondo del campo di input [conv. 1 off delay] cambia e il dato
può essere modificato.
maintenance mode
Board Outfeed
Board Infeed
Conveyor 2
Conveyor 1Conveyor 1
Conveyor 2
Conveyor 3 Conveyor 3
Conveyor 4 Conveyor 4
conv. 4 length
conv. 3 length
conv. 2 length
conv. 1 length conv. 1 length
conv. 2 length
conv. 3 length
conv. 4 length
Off delay
active
conv. 1 off delay conv. 1 off delay
conv. 2 off delay conv. 2 off delay
conv. 3 off delay conv. 3 off delay
conv. 4 off delay conv. 4 off delay
active
Off delay
active
Off delay
active
Off delay
active
Off delay
active
Off delay
active
Off delay
active
Off delay
Length Length
LengthLength
LengthLength
LengthLength
active active
active active
active active
active active
Descrizione del funzionamento | 6
Ersa GmbH Istruzioni d´uso_HF3_14_it | 30/10/2014 301 / 0

2. Fare clic sul campo di immissione e immettere la distanza per lo spegnimento
ritardato in [mm], es. 100 mm.
ð A questo punto il sistema di controllo agisce come segue:
ð Gli spazi vuoti e le distanze che misurano meno di 100 mm vengono igno-
rati.
ð In questo modo si garantisce che i circuiti stampati vengano rilevati come
unità complete anche quando presentano spazi vuoti. La distanza tra le
schede deve però essere maggiore del valore che è stato impostato nel
campo di input [conv. 1 off delay].
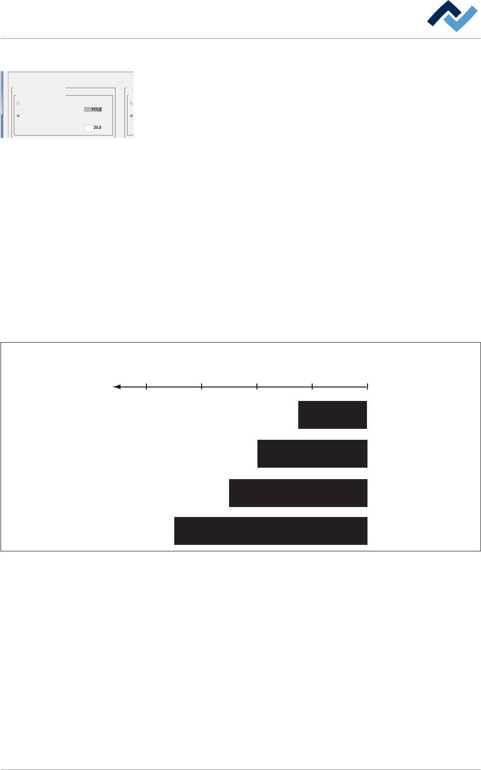
ð Osservare la seguente figura:
160
130
60
80
200
Senso di trasporto
Processo
di rilevamento
del sensore
Il valore nel campo [conv. 1 disattivazione]
corrisponde a 100 mm
scheggiatura,
vuoto,
Distanza
Fig. 110: Comportamento del rilevamento PCB in fase di impostazione [Spegnimento ritardato attivo].
Riquadro [Board Exit]
Se questo riquadro non viene visualizzato, occorre modificare un'impostazione. A
questo riguardo, leggere il capitolo Preimpostazioni generali [} 321].
Il principio su cui si basa il rilevamento PCB corrisponde a quello del riquadro Board
Infeed]. Nella maggioranza dei casi il convogliatore successivo si muove più veloce-
mente di quello della macchina. Di conseguenza va selezionata l'impostazione [Off
delay Active ]. Questa è l'impostazione raccomandata.
Descrizione del funzionamento | 6
Ersa GmbH Istruzioni d´uso_HF3_14_it | 30/10/2014 302 / 0

Finestra di impostazioni [Monitoraggio PCB]
Questa finestra è per scopi di servizio e di diagnosi.
AVVERTENZA
Modifiche non possibili?
Per l'accesso a questo dialogo occorrono i diritti utente [Set value pages]. Senza il
nome utente e la password, le impostazioni possono essere solo visualizzate. In
questo caso, premere il tasto [ESC] sulla tastiera o cliccare sul pulsante [Cancel]
durante la richiesta di una password.
Qui ci limitiamo a descrivere le finestre di dialogo del binario 1 del convogliatore;
esse valgono analogamente per tutti gli altri binari di convogliatore.
ü Aprire la finestra di dialogo delle impostazioni [Board detection]:
1. Aprire la finestra di dialogo di input [Conveyor] di un binario, nel nostro caso
[conveyor track 1].
2. Aprire la finestra di dialogo di input [Board detection]. Per fare questo, fare clic
sul pulsante
della conveyor track 1.
3. Nella barra degli strumenti inferiore fare clic sul pulsante .
ð Si apre la finestra di dialogo delle impostazioni [Board detection]:
Board detection SettingsConveyor 1
Maintenance mode
ISEL sensor ISAL sensor
Max. time detection
First board in machine
Current position
Low mass tubular conveyor
Tube thickness infeed
Alarm
Tolerance range
Expect board
alarm, if board is lost
mm
s
Distances
Distance from transport begin to sensor 'LGA'
Hardware signal
Software signal
Software signal
Hardware signal
Max. time detection
Software impulse counter Software impulse counter
mmLength
Last board in machine
Current position
Length mm
mm
Distance from sensor 'LGA' to sensor 'ISAL'
Distance from sensor 'ISAL' to transport end
sound if ISAL max time is reached
mm
mm
mm
Installed
mm
mm
mm
mm
Set value
Actual value
Tube thickness infeed
Tube thickness exit
Actual value
Tube thickness exit
Set value
Tolerance range from sensor ISAL
LGA sensor
Hardware signal
Software signal
Software impulse counter
Max. time detection s
Congestion monitoring with sensor ISAL
Create alarm on congestion
Time until creation of alarm
5,0
150,0
40,0
63
25
25
725
8
8
6,5
6,5
Fig. 111: La finestra di dialogo delle impostazioni [Board detection]
6.17.18
Descrizione del funzionamento | 6
Ersa GmbH Istruzioni d´uso_HF3_14_it | 30/10/2014 303 / 0