00192553-01.pdf - 第339页
6,=( 52: &251(5 /HDG /HDG *ULG %DOO 3'& ∆ X, ∆ Y, ( ∆φ ), 3'& )'& …

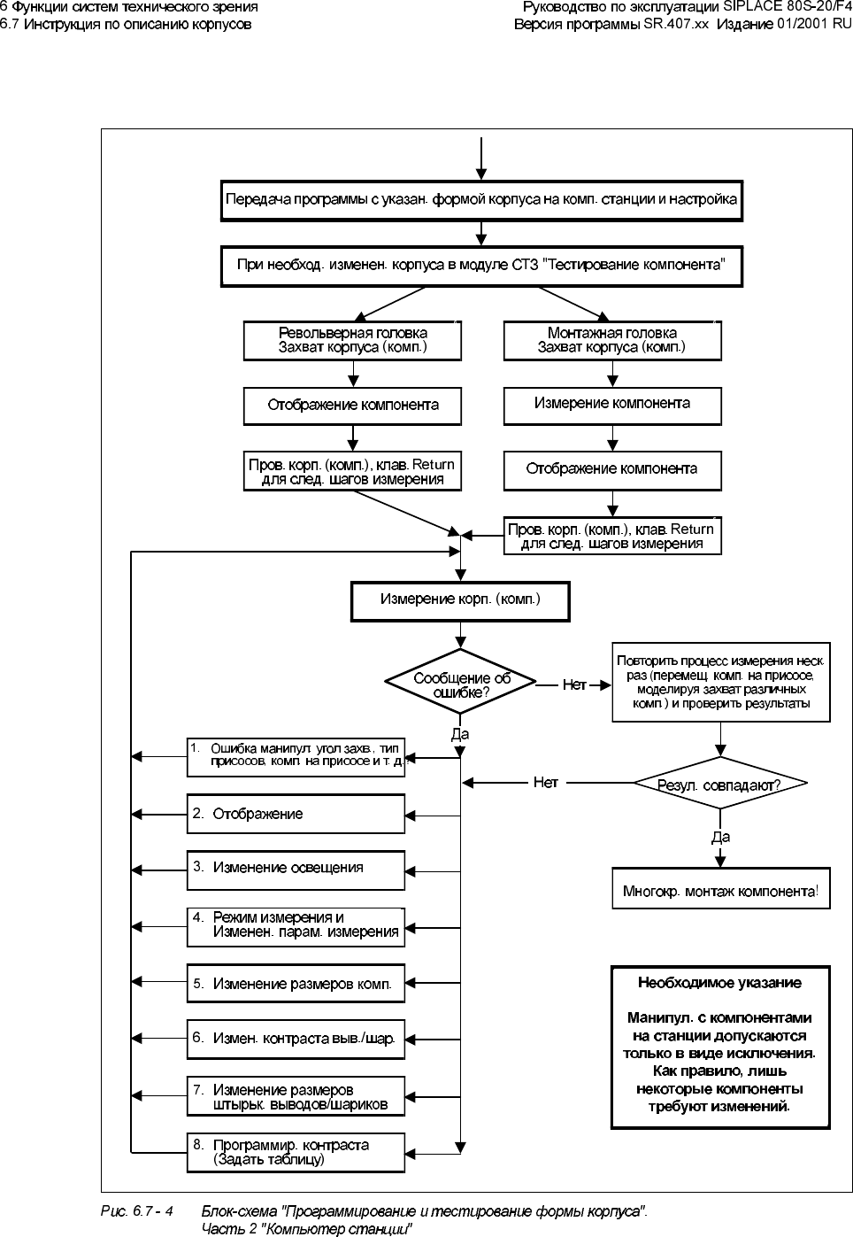
Programm und Rüstung mit dieser Gehäuseform an Station schicken und rüsten
Im „Visionsystem“ „BE testen“ GF nach Bedarf verändern
Revolverkopf
GF (BE) abholen
Pick & Place - Bestückkopf
GF (BE) abholen
BE darstellen BE messen
GF (BE) prüfen, Return für
für nächsten Meßschritt
BE darstellen
GF (BE) prüfen, Return für
nächsten Meßschritt
GF (BE) messen
Meßvorgang mehrmals wiederholen
(BE auf Pipette verschieben
simuliert Abholen verschiedener
BE) und Resultate prüfen
Immer gleich ?
Mehrmals bestücken !
Wichtiger Hinweis:
Das Manipulieren von
Bauelementen an der Station
muß die Ausnahme bleiben.
In der Regel müssen nur
wenige Bauelemente
verändert werden
8. Kontrast programmieren
(Tafel programmieren)
7. Pin/Ball-Dimensionen
verändern
6. Pin/Ball-Kontrast verändern
5. Bauteildimension verändern
4. Meßmodi und Meßparameter
verändern
3. Beleuchtung verändern
2. Bauelement darstellen
1. Hantierfehler: Abholwinkel,
Pipettentyp, BT an Pipette, etc.
Nein
Nein
Ja
Tritt Fehler-
meldung auf?
Ja

6,=(
52:
&251(5
/HDG
/HDG
*ULG
%DOO
3'&
∆X, ∆Y, (∆φ),
3'&
)'&
∆X, ∆Y, (∆φ),
)'&
∆X, ∆Y, (∆φ),
)'&
∆X, ∆Y, (∆φ),
)'&
∆X, ∆Y,
)'&
∆X, ∆Y,
)'&
∆X, ∆Y, (∆φ)
)'&
∆X, ∆Y, (∆φ)
%*$ ∆X, ∆Y, (∆φ)

±
!
±
!
±
[