Instrucciones de uso_HF3_14_es - 第184页
El diálogo de entrada [Detección de PCB]. En este diálogo puede introducir las configuraciones para la detección de la placa de soldadura. De manera opcional, cada carril de transporte tiene una detección de PCB. Para el…

El cuadro [N2‐O2]
El campo [Place of installation] informa sobre la ubicación del medidor, por ejem-
plo [reflow zone].
ü Activación del suministro de nitrógeno:
1. Active la casilla de verificación [N2 ON] .
ð El suministro de nitrógeno está activado. El campo de entrada [N2 min. set
value] cambia el color de fondo y se convierte editable.
2. Clique en el campo de entrada [N2 min. set value] e introduzca un valor para la
válvula de N2 en [%].
ð Cuando se active el programa de soldadura la válvula se abrirá de acuerdo
a este valor.
ü Encendido del dispositivo de medición de oxígeno residual (opción):
1. Active la casilla de verificación[Measure value O2 ON] para encender el disposi-
tivo de medición de oxígeno residual.
ð La casilla de verificación [O2 controlled] será editable y podrá activarse.
2. Active la casilla de verificación [O2 controlled] .
ð La regulación de oxígeno residual está activada y el valor de configuración
de la válvula se puede controlar desde la regulación. Los campos de entra-
da del cuadro [Residual oxygen (O2)] cambian de color de fondo y pueden
editarse.
El cuadro [Residual oxygen (O2)]
ü Introducción del valor nominal y el límite de tolerancia para la regulación de
oxígeno residual:
1. Clique en el campo de entrada [O2 Set value] e introduzca el valor nominal pa-
ra el contenido de oxígeno residual deseado en [ppm], por ejemplo [200 ppm].
2. Clique en los campos de entrada [O2 tolerance +] y [O2 tolerance -] e introduz-
ca los límites de tolerancia en [ppm].
ð La regulación establece el contenido de oxígeno residual en 200 ppm. Al sobre-
pasar los límites de tolerancia por arriba o por debajo aparecerán mensajes de
aviso.
Puntos de medición adicionales (Opción)
Opcionalmente se pueden instalar dos puntos de medición adicionales con o sin
medición de oxígeno residual. El control se realiza tal y como se ha descrito más
arriba.
maintenance mode
N2-O2 Measuring point 1 Measuring point 1
Place of installation Place of installation Place of installation
reflow zone in zone 2 in zone 4
N2 ON N2 ON N2 ON
N2 min. set value N2 min. set value N2 min. set value
Measure value O2 ON Measure value O2 ON Measure value O2 ON
O2 controlled O2 controlled O2 controlled
O2 Set value O2 Set value O2 Set value
O2 tolerance + O2 tolerance + O2 tolerance +
O2 tolerance - O2 tolerance - O2 tolerance -
ppm
ppm
ppm ppm
ppm
ppm
ppm
ppm
ppm
Residual oxygen (O2) Residual oxygen (O2) Residual oxygen (O2)
Descripción de funciones | 6
Ersa GmbH Instrucciones de uso_HF3_14_es | 30/10/2014 183 / 0

El diálogo de entrada [Detección de PCB].
En este diálogo puede introducir las configuraciones para la detección de la placa
de soldadura. De manera opcional, cada carril de transporte tiene una detección de
PCB. Para ello lea el capítulo
Ventana de introducción [monitoreo material para sol-
dadura] [} 297].
ü Abra el diálogo de introducción de datos [Board detection] :
1. Clique, en la barra de herramientas superior del diálogo [Parent] el botón .
ð Se abrirá el diálogo de introducción de datos [Board detection] :
Board Outfeed
Board Infeed
Conveyor 2
Conveyor 1Conveyor 1
Conveyor 2
Conveyor 3 Conveyor 3
Conveyor 4 Conveyor 4
conv. 4 length
conv. 3 length
conv. 2 length
conv. 1 length conv. 1 length
conv. 2 length
conv. 3 length
conv. 4 length
Off delay
active
conv. 1 off delay conv. 1 off delay
conv. 2 off delay conv. 2 off delay
conv. 3 off delay conv. 3 off delay
conv. 4 off delay conv. 4 off delay
active
Off delay
active
Off delay
active
Off delay
active
Off delay
active
Off delay
active
Off delay
active
Off delay
Length Length
LengthLength
LengthLength
LengthLength
active active
active active
active active
active active
Maintenance mode
Abb. 52: El diálogo de entrada [Detección de PCB].
ADVERTENCIA
¡Solo puede haber una opción activada!
De los botones de opción [Length Active] y [Off delay Active] solo pueden haber
uno activado. Si activa uno, éste desactivará automáticamente al otro.
6.9.7
Descripción de funciones | 6
Ersa GmbH Instrucciones de uso_HF3_14_es | 30/10/2014 184 / 0

El cuadro [Board Infeed]
Realice la siguiente configuración cuando…
▪ …el transporte situado delante vaya más rápido que el transporte de la máqui-
na
▪ …cuando las placas de una serie sean más o menos de la misma longitud.
ü Configuración de la función [Length Active]:
1. Active el botón de opción [Length Active] .
ð El campo de entrada [conv. 1 length] cambia el color de fondo y se convier-
te editable.
2. Clique en el campo de entrada e introduzca el largo de la placa en [mm], por
ejemplo 200 mm.
ð El control se comporta de la siguiente manera:
ð Si el largo de una placa introducida es menor del valor establecido, el valor
de control se establecerá en [200 mm].
3. Si el largo de una placa introducida es mayor del valor establecido, el valor de
control se establecerá en el valor real.
ð Observe la ilustración siguiente:
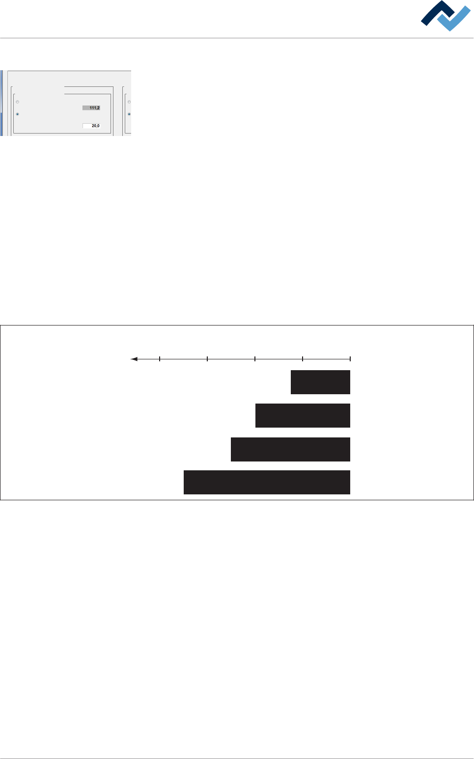
mm
400 300 200 100 0
El valor del campo [Tr. 1 Largo] es de 200 mm
Largo de la placa detectado por el sensor: 120 mm
Largo de la placa determinado
por el control : 200 mm
Largo de la placa determinado
por el control : 200 mm
Largo de la placa determinado
por el control : 250 mm
Largo de la placa determinado
por el control : 350 mm
Largo de la placa detectado por el sensor: 200 mm
Largo de la placa detectado por el sensor: 250 mm
Largo de la placa detectado por el sensor: 350 mm
Abb. 53: Actuación de la detección de PCB en la configuración [Largo activo].
Realice la siguiente configuración cuando…
▪ …el transporte situado delante vaya igual de rápido que el transporte de la má-
quina
▪ …las placas presente sobresalientes o huecos
▪ …cuando las placas de una serie sean de varias longitudes.
ü Configuración de la función [Off delay Active]:
1. Active el botón de opción [Off delay Active] .
ð El campo de entrada [conv. 1 off delay] cambia el color de fondo y se con-
vierte editable.
2. Clique en el campo de entrada e introduzca la demora de desconexión en
[mm], por ejemplo 100 mm.
ð El control se comporta de la siguiente manera:
ð Los huecos y sobresalientes menores de 100 mm se ignoran.
maintenance mode
Board Outfeed
Board Infeed
Conveyor 2
Conveyor 1Conveyor 1
Conveyor 2
Conveyor 3 Conveyor 3
Conveyor 4 Conveyor 4
conv. 4 length
conv. 3 length
conv. 2 length
conv. 1 length conv. 1 length
conv. 2 length
conv. 3 length
conv. 4 length
Off delay
active
conv. 1 off delay conv. 1 off delay
conv. 2 off delay conv. 2 off delay
conv. 3 off delay conv. 3 off delay
conv. 4 off delay conv. 4 off delay
active
Off delay
active
Off delay
active
Off delay
active
Off delay
active
Off delay
active
Off delay
active
Off delay
Length Length
LengthLength
LengthLength
LengthLength
active active
active active
active active
active active
Descripción de funciones | 6
Ersa GmbH Instrucciones de uso_HF3_14_es | 30/10/2014 185 / 0