Instrucciones de uso_HF3_14_es - 第301页
ð De esta manera se garantiza que las placas se consideren como una unidad a pesar de tener huecos. La distancia entre placas debe ser mayor al valor introducido en el campo de entrada [conv. 1 off delay] . ð Observe la …

El cuadro [Board Infeed]
Realice la siguiente configuración cuando…
▪ …el transporte situado delante vaya más rápido que el transporte de la máqui-
na
▪ …cuando las placas de una serie sean más o menos de la misma longitud.
ü Configuración de la función [Length Active]:
1. Active el botón de opción [Length Active] .
ð El campo de entrada [conv. 1 length] cambia el color de fondo y se convier-
te editable.
2. Clique en el campo de entrada e introduzca el largo de la placa en [mm], por
ejemplo 200 mm.
ð El control se comporta de la siguiente manera:
ð Si el largo de una placa introducida es menor del valor establecido, el valor
de control se establecerá en [200 mm].
3. Si el largo de una placa introducida es mayor del valor establecido, el valor de
control se establecerá en el valor real.
ð Observe la ilustración siguiente:
mm
400 300 200 100 0
El valor del campo [Tr. 1 Largo] es de 200 mm
Largo de la placa detectado por el sensor: 120 mm
Largo de la placa determinado
por el control : 200 mm
Largo de la placa determinado
por el control : 200 mm
Largo de la placa determinado
por el control : 250 mm
Largo de la placa determinado
por el control : 350 mm
Largo de la placa detectado por el sensor: 200 mm
Largo de la placa detectado por el sensor: 250 mm
Largo de la placa detectado por el sensor: 350 mm
Abb. 109: Actuación de la detección de PCB en la configuración [Largo activo].
Realice la siguiente configuración cuando…
▪ …el transporte situado delante vaya igual de rápido que el transporte de la má-
quina
▪ …las placas presente sobresalientes o huecos
▪ …cuando las placas de una serie sean de varias longitudes.
ü Configuración de la función [Off delay Active]:
1. Active el botón de opción [Off delay Active] .
ð El campo de entrada [conv. 1 off delay] cambia el color de fondo y se con-
vierte editable.
2. Clique en el campo de entrada e introduzca la demora de desconexión en
[mm], por ejemplo 100 mm.
ð El control se comporta de la siguiente manera:
ð Los huecos y sobresalientes menores de 100 mm se ignoran.
maintenance mode
Board Outfeed
Board Infeed
Conveyor 2
Conveyor 1Conveyor 1
Conveyor 2
Conveyor 3 Conveyor 3
Conveyor 4 Conveyor 4
conv. 4 length
conv. 3 length
conv. 2 length
conv. 1 length conv. 1 length
conv. 2 length
conv. 3 length
conv. 4 length
Off delay
active
conv. 1 off delay conv. 1 off delay
conv. 2 off delay conv. 2 off delay
conv. 3 off delay conv. 3 off delay
conv. 4 off delay conv. 4 off delay
active
Off delay
active
Off delay
active
Off delay
active
Off delay
active
Off delay
active
Off delay
active
Off delay
Length Length
LengthLength
LengthLength
LengthLength
active active
active active
active active
active active
Descripción de funciones | 6
Ersa GmbH Instrucciones de uso_HF3_14_es | 30/10/2014 300 / 0

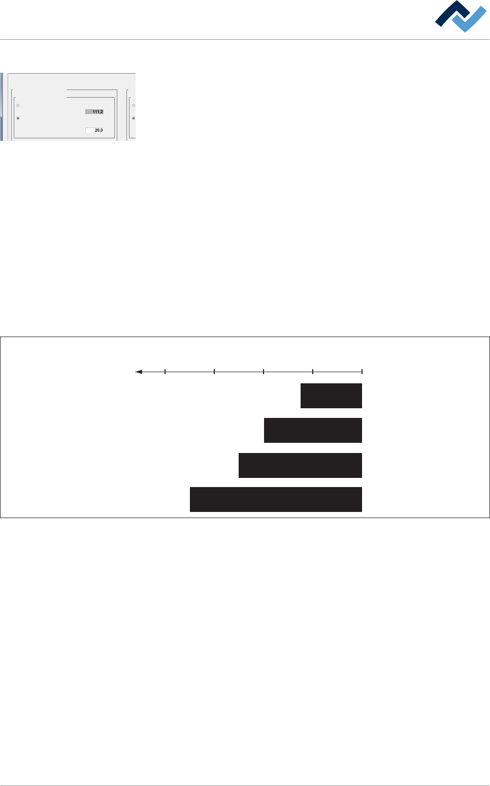
ð De esta manera se garantiza que las placas se consideren como una unidad
a pesar de tener huecos. La distancia entre placas debe ser mayor al valor
introducido en el campo de entrada [conv. 1 off delay] .
ð Observe la ilustración siguiente:
160
130
Distancia
60
80
200
Dirección del transporte
de fallo
Aparición
Proceso de
detección del sensor
El valor del campo [Tr. 1 Demora de desconexión] es de 100 mm
Abb. 110: Actuación de la detección de PCB en la configuración [Retraso en apagado activo].
El cuadro [Board Exit]
En caso de que este cuadro no se muestre debe cambiar una configuración. Para
ello lea el capítulo Preconfiguraciones generales [} 322].
El sistema de detección de la placa corresponde al cuadro [Board Infeed]. En la ma-
yoría de los casos el transporte situado delante se desplaza más rápido que el
transporte de la máquina. Por ello, seleccione la opción [Off delay Active ]. Esta es
la configuración recomendada.
Descripción de funciones | 6
Ersa GmbH Instrucciones de uso_HF3_14_es | 30/10/2014 301 / 0

Ventana de configuraciones [monitoreo material para soldadura]
Esta ventana es para fines de servicio y diagnóstico.
ADVERTENCIA
¿No puede realizar cambios?
Para acceder a este diálogo son necesarios los derechos de usuario para el [Set
value pages] . Sin un nombre de usuario y contraseña, las configuraciones solo
pueden consultarse. En ese caso, pulse la tecla [ESC] del teclado mientras aparece
la solicitud de contraseña o clique en el botón [Cancel].
Aquí se describe solo el diálogo del carril de transporte 1, todo lo expuesto es ex-
trapolable a todos los carriles de transporte.
ü Abra la ventana de diálogo de las configuraciones [Board detection]:
1. Abra la ventana de introducción [Conveyor] de un riel, en nuestro caso [conve-
yor track 1].
2. Abra la ventana de introducción [Board detection] Para hacerlo, haga clic en el
botón
de la conveyor track 1.
3. En la barra de herramientas inferior haga clic en el botón .
ð Se abre la ventana de diálogo de las configuraciones [Board detection]:
Board detection SettingsConveyor 1
Maintenance mode
ISEL sensor ISAL sensor
Max. time detection
First board in machine
Current position
Low mass tubular conveyor
Tube thickness infeed
Alarm
Tolerance range
Expect board
alarm, if board is lost
mm
s
Distances
Distance from transport begin to sensor 'LGA'
Hardware signal
Software signal
Software signal
Hardware signal
Max. time detection
Software impulse counter Software impulse counter
mmLength
Last board in machine
Current position
Length mm
mm
Distance from sensor 'LGA' to sensor 'ISAL'
Distance from sensor 'ISAL' to transport end
sound if ISAL max time is reached
mm
mm
mm
Installed
mm
mm
mm
mm
Set value
Actual value
Tube thickness infeed
Tube thickness exit
Actual value
Tube thickness exit
Set value
Tolerance range from sensor ISAL
LGA sensor
Hardware signal
Software signal
Software impulse counter
Max. time detection s
Congestion monitoring with sensor ISAL
Create alarm on congestion
Time until creation of alarm
5,0
150,0
40,0
63
25
25
725
8
8
6,5
6,5
Abb. 111: Ventana de diálogo de las configuraciones [Board detection]
6.17.18
Descripción de funciones | 6
Ersa GmbH Instrucciones de uso_HF3_14_es | 30/10/2014 302 / 0