镭晨AIS43X Series-3D产品介绍_210223 - 第15页
AIS43XSeries -3D|技术优势-⾼精度 • 采⽤动态⾃适应基准⾯算法进⾏基板⾼度校正 重复测量精度 基⾯ 拟合 矫正 FOV 级动态⾃适应基准⾯算法 器件级⾃适应基准⾯寻找算法 X Y

AIS43XSeries-3D|技术优势-⾼精度
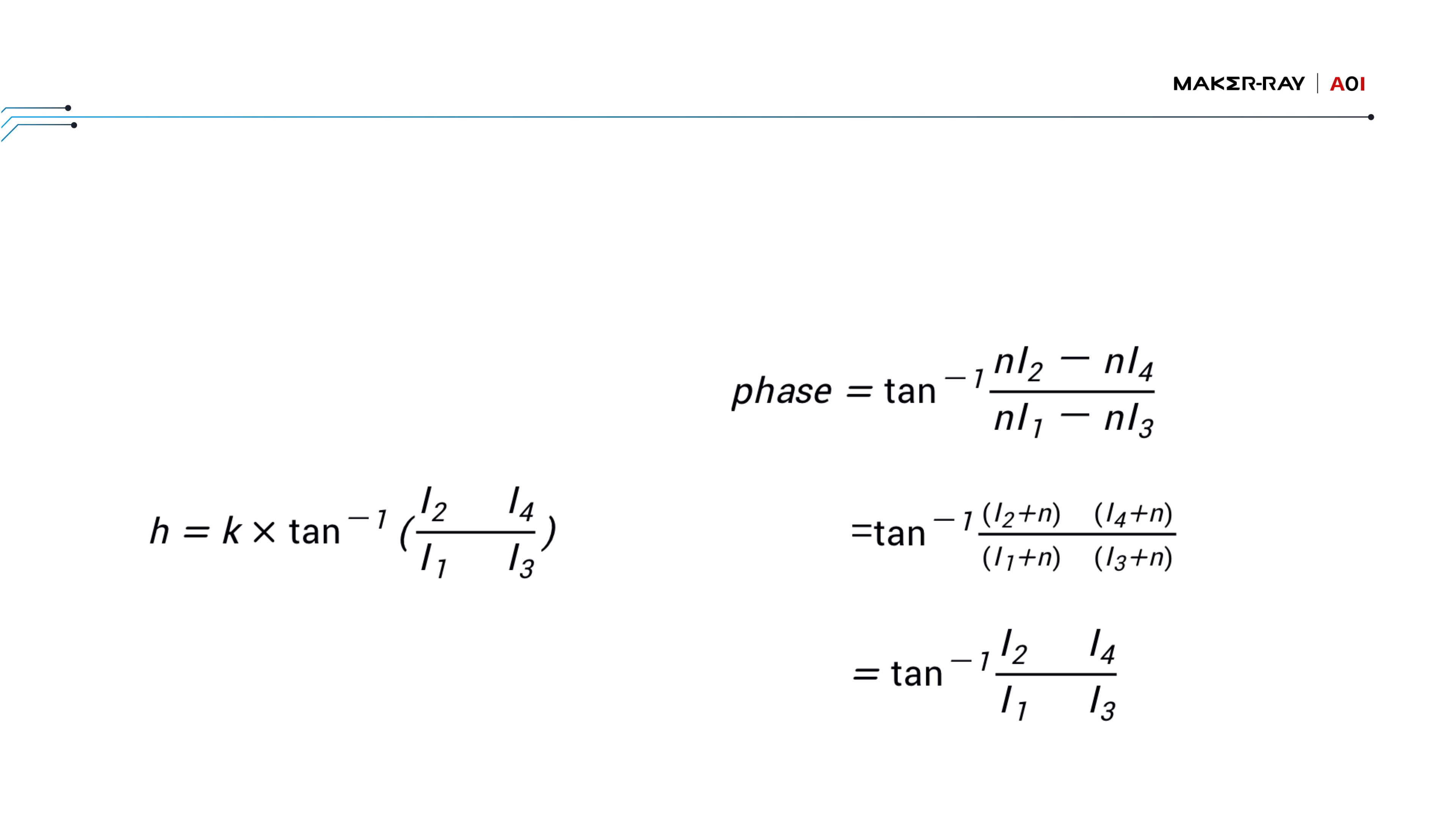
采⽤相位⾼度映射算法进⾏精度标定
·Φ表⽰相位,ΔΦ表⽰相位差,Z是⾼度
·实拍图⽚

AIS43XSeries-3D|技术优势-⾼精度
•
采⽤动态⾃适应基准⾯算法进⾏基板⾼度校正
重复测量精度
基⾯
拟合
矫正
FOV级动态⾃适应基准⾯算法 器件级⾃适应基准⾯寻找算法
X
Y

•
成像稳定。采⽤深度学习去噪,多频四步相移增强鲁棒性,避免亮度
变化对⾼度成像的影响
AIS43XSeries-3D|技术优势-⾼精度
重复测量精度
n:illuminationchanging