KE-2070-2080-2080R 操作手册2 Rev00.pdf - 第205页
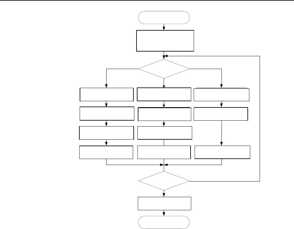
第 3 章 生产 Rev00 3-2 3-1-2 生产流程 START 生産条件を 選択して起動 終了 生産条件? 生産条件設定 部品数設定 基板生産 空打 空打条件設定 試打条件設定 部品数設定 試打 終了か? 実行モード指定 END 空打 試打 基板生産 N Y 実行モード指定 実行モード指定 图 3-1 生产流程示意 选择生产条件 并启动 设定生产条件 设定空打条件 指定运行模式 指定运行模式 试打 空打 设定试打条件 设定元件数…

第 3 章 生产 Rev00
3-1
第3章 生产
3-1 概要
使用已制作的生产程序进行贴片确认和生产。
制作完新程序后,在实际生产前,有必要进行试生产,以确认贴片坐标、吸取坐标等,对新
建的程序进行最终确认。
3-1-1 生产模式
在生产中,有以下 3 种生产模式。
No. 生产模式 内容
1 基板生产 是指定生产数量,实际生产基板的模式。
2 试打 是进行试生产的模式。
可选择吸取位置追踪和贴片后的贴片位置追踪。
※1
3 空打 不使用元件而确认吸取贴片动作的模式。
可选择吸取位置追踪和贴片后的贴片位置追踪。
※1
※1:参见《操作手册 II》的“2-5-4-4 确认”。
基板的生产、试打、空打中,可分别设定生产条件、试打条件及空打条件。

第 3 章 生产 Rev00
3-2
3-1-2 生产流程
START
生産条件を
選択して起動
終了
生産条件?
生産条件設定
部品数設定
基板生産 空打
空打条件設定試打条件設定
部品数設定
試打
終了か?
実行モード指定
END
空打試打
基板生産
N
Y
実行モード指定 実行モード指定
图 3-1 生产流程示意
选择生产条件
并启动
设定生产条件
设定空打条件
指定运行模式
指定运行模式
试打
空打
设定试打条件
设定元件数
设定元件数
试打
基板生产
空打
结束?
结束
指定运行模式
生
产条件
?

第 3 章 生产 Rev00
3-3
3-2 生产画面
3-2-1 生产画面的启动
在主画面上选择“生产”/“基板生产”,或选择命令按钮的“生产(基板生产)”,则显示如
下的生产条件设定画面。
请指定生产条件(参见“3-2-2 生产条件画面”)。
图 3-2 生产画面
3-2-2 生产条件画面
启动生产,则显示设置生产条件的画面。
● 个别设定项目:选择“基板生产”、“试打”、“空打”,设定条件。
● 通用项目:与“基板生产”、“试打”、“空打”无关的通用设定
。
图 3-3 设置基板生产条件