JX-100_使用说明书.pdf - 第434页
第 1 部 基本篇 第 4 章 制作生产程序 在操作选项中设 定 [ 放 大数字 ] 时,可将像机拍 摄的画像放大 在监视器 上显示。 在上述步 骤②中,按 1 次 HOD 的 WINDOW 键时,通常情况下 , 可 转入窗口 示教。 继续按下第 2 次 WINDOW 键时,切换 为放大显示的 示教窗口。 元件外形尺寸的 长边为 2.26mm 以上时,不论操作 选项的设定如何, 都不能放大显示。而且, 贴 装角度 + 电路角度为 0 /…

第 1 部 基本篇 第 4 章 制作生产程序
6) 跟踪时的坐标示教
当跟踪的坐标与实际不同时,可按示教按钮或用HOD进行贴片坐标的示教。
<步骤>
① 将光标移动到 X 或 Y 坐标。
② 按示教按钮或 HOD 装置键,进行坐标示教,然后按 ENTER 键确定。
图 4-5-4-4-6 正在进行示教(示教按钮时)
图 4-5-4-4-7 正在进行示教(HOD 时)
③ 要使确定的坐标值有效时,按下<设定>或再次按下 ENTER。
要返回坐标时,按下<取消>或CANCEL。
4-180

第 1 部 基本篇 第 4 章 制作生产程序
在操作选项中设定 [放大数字]时,可将像机拍摄的画像放大在监视器上显示。
在上述步骤②中,按 1 次 HOD 的 WINDOW 键时,通常情况下,可转入窗口示教。
继续按下第 2 次 WINDOW 键时,切换为放大显示的示教窗口。
元件外形尺寸的长边为 2.26mm 以上时,不论操作选项的设定如何,都不能放大显示。而且,贴
装角度 + 电路角度为 0 / 90 / 180 / 270°以外时,也不能放大显示。
可根据元件的外形尺寸,切换放大比例:
・选中放大4倍时:
长边尺寸为 2.25~1.11mm 时 ,放大 2 倍显示。
长边尺寸为 1.10~0.01mm 时,放大 4 倍显示。
・不 选中放大4倍时:
长边尺寸为 2.25~0.01mm 时,放大 2 倍显示。
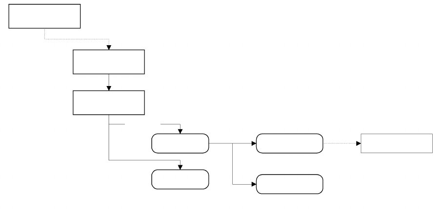
◆ 贴片跟踪时的示教操作流程
把输入焦点移到
贴片坐标
的 XY 编辑框中
输入焦距
示教操作
确定坐标后
ENTER
CANCEL
按下“设定”按钮
或 ENTER
按下“取消”按钮
或 CANCEL
变更贴片数据
按下示教按钮或
HOD 设备键
4-181

第 1 部 基本篇 第 4 章 制作生产程序
(3)坐标类:吸取位置/吸取高度
通过摄像机跟踪吸取位置。确认监视器中显示的吸取位置,当输入坐标不准确时,可通过示教进
行修正。
此外,可以通过HMS(选购件)跟踪吸取高度。此时,监视器上依次显示从HMS获得的检测值。当高
度有明显差异时,请与坐标示教一样,对高度值进行示教。
◆ 吸取位置(高度)跟踪的流程
1) 设定条件
从菜单栏中选择“机器操作”/“确认”/“坐标类”/“吸取位置”,显示如下画面。
图 4-5-4-4-8 吸取坐标位置摄像机跟踪
机器操作菜单
吸取位置/吸取高度
设置吸取跟踪的
条件
执行吸取位置
(高度)跟踪
反映各坐标的修正
向各吸取数据坐标移动
在监视器上目检
坐标/HMS 检出值
示教
各坐标的修正
选择
执行
4-182