KE2040Instruction Manual Ver2.01,REV04.2003.6.25 - 第636页
7 − 154 Figure 7.7. 3.4.1 SOT direct ion independent inspecti on sequence START Select a com ponent to be check ed (on the dialog box). END Executes a c heck (on the dialog box). Displays a dialog box indicating exec uti…

7 − 153
to” is set to “Trash conveyor” or “Protect”.
③ Selecting a feeder used to pick a component
If two or more feeders are assigned to the same type of components on the
Pick data screen, the system starts picking up components from one whose
data was entered first of all by default. Only in Independent Inspection mode,
you can change the feeder used to pick up a component intentionally.
④ Changing the coordinates of a component pick-up position
When a component is not picked up properly, manually enter the coordinates or
use the HOD device to teach them to change the coordinates of a component
pick-up position.
⑤ Manual component pick-up
If there is no Pick data created, you can manually attach a component to a
nozzle. However, in such a case, you cannot enter coordinates that indicate
the component pick-up position. You cannot operate a feeder either.
⑥ Check
The system places a picked-up component onto the SOT direction check stage
at a 0-degree angle, and uses the left OCC to judge if this angle is appropriate
or not.
7.7.3.4 Operation sequence
7.7.3.4.1 Independent inspection sequence
The SOT independent inspection function is described below.
Table 7.7.3.4.1 SOT direction independent inspection
Operation Remarks
1. Check to see if an SOT direction inspection is available or not.
Checks to see if the specified feeder is available or not..
Checks to see if a production program is created completely or not
Displays an error when
a check error occurs.
2. Initialization
Start of an
independent
inspection
Initializes a driver and other devices.
1. Selects a component to be checked.
Selection of a
component
2. Displays the component information.
Displays a dialog box or
an error if there is no
component to be
checked.
1. Displays the component information.
2. Displays a component pick-up position.
3. Makes a trivial adjustment of a component pick-up position.
Makes a trivial adjustment of a component pick-up position by
teaching or manual input of data.
Checks to see if the adjusted value is stored onto Pick data or not.
4. Selects a component to be picked up.
Changes a feeder to the alternate feeder.
5. Controls a knocking operation of a feeder.
6. Displays a check result.
Execution of an
inspection
7. Checks the direction of an SOT component.
Displays a dialog box.
1. Controls picking-up of a component.
2. Controls execution of the SOT direction inspection.
Check of the
SOT direction
3. Controls returning of a component.
1. Quit process
End of an
independent
inspection
Finishes operating a driver or other devices.
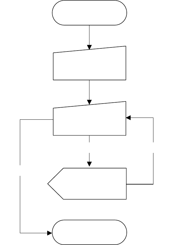
The independent inspection sequence is shown in Figure 7.7.3.4.1.

7 − 154
Figure 7.7.3.4.1 SOT direction independent inspection sequence
START
Select a component to
be checked
(on the dialog box).
END
Executes a check
(on the dialog box).
Displays a dialog box
indicating execution of
an inspection.
Execution Check result
End

7 − 155
7.7.3.4.2 Continuous inspection sequence
The SOT continuous inspection function is described below.
Table 7.7.3.4.2 SOT direction continuous inspection function
Operation Remarks
1. Check to see if an SOT direction inspection is available or not.
Checks to see if the specified feeder is available or not..
Checks to see if a production program is created completely or not
Displays an error when
a check error occurs.
2. Initialization
Start of an
independent
inspection
Initializes a driver and other devices.
1. Selects a component to be checked.
Selection of a
component
2. Displays the component information.
Displays a dialog box or
an error if there is no
component to be
checked.
1. Displays the component information.
2. Displays a component pick-up position.
3. Makes a trivial adjustment of a component pick-up position.
Makes a trivial adjustment of a component pick-up position by
teaching or manual input of data.
Checks to see if the adjusted value is stored onto Pick data or not.
4. Selects a component to be picked up.
Changes a feeder to the alternate feeder.
5. Controls a knocking operation of a feeder.
6. Displays a check result.
Execution of an
inspection
7. Checks the direction of an SOT component.
Displays a dialog box.
1. Controls picking-up of a component.
2. Controls execution of the SOT direction inspection.
Check of the
SOT direction
3. Controls returning of a component.
1. Quit process
End of an
independent
inspection
Finishes operating a driver or other devices.
The continuous inspection sequence is shown in Figure 7.7.3.4.2.