00192375-01 - 第25页
SIPLACE GEM for S25, HS50 SW Version GEM 502.01 HOST Inter face Manual ©Siemens AG, all rights reserved page 25 of 236 &RQWURO)LQLWH6WDWH'HVFULSWLRQ The Contr ol State of the Equipm ent is illus trated…

SIPLACE GEM for S25, HS50 SW Version GEM 502.01
HOST Interface Manual
Page 24 of 236 ©Siemens AG, all rights reserved
5HODWHG9DULDEOHV
The following table lists the variables (SV's, EC's, or DVVALS) which are relevant to
establishing communications . For a more complete description of these variables, see
"Appendix A -- Variables".
Variable Name VID
CONFIGCONNECT 1002004
INITCOMMSTATE 1002002
ESTABLISHCOMMUNICATIONSTIMER 1002003
HEARTBEAT 1002055
&RPSDWLELOLW\
The SIPLACE supports the following Establish Communications message formats for
older Host implementations. If the Host intends to use the Control State Off-Line feature,
CONFIGCONNECT should always be set to S1F13/14.
S1F1/S1F2
S1F65/S1F66
&RQWURO6WDWHV
This section describes the Control characteristics of the Equipment. The Equipment may
be in one of the following control states. This value is reflected in status variable
CONTROLSTATE (VID 1002006).
Value State
1 Off-Line/Equipment Off-Line
2 Off-Line/Attempt On-Line
3 Off-Line/Host Off-Line
4 On-Line/Local
5 On-Line/Remote

SIPLACE GEM for S25, HS50 SW Version GEM 502.01
HOST Interface Manual
©Siemens AG, all rights reserved page 25 of 236
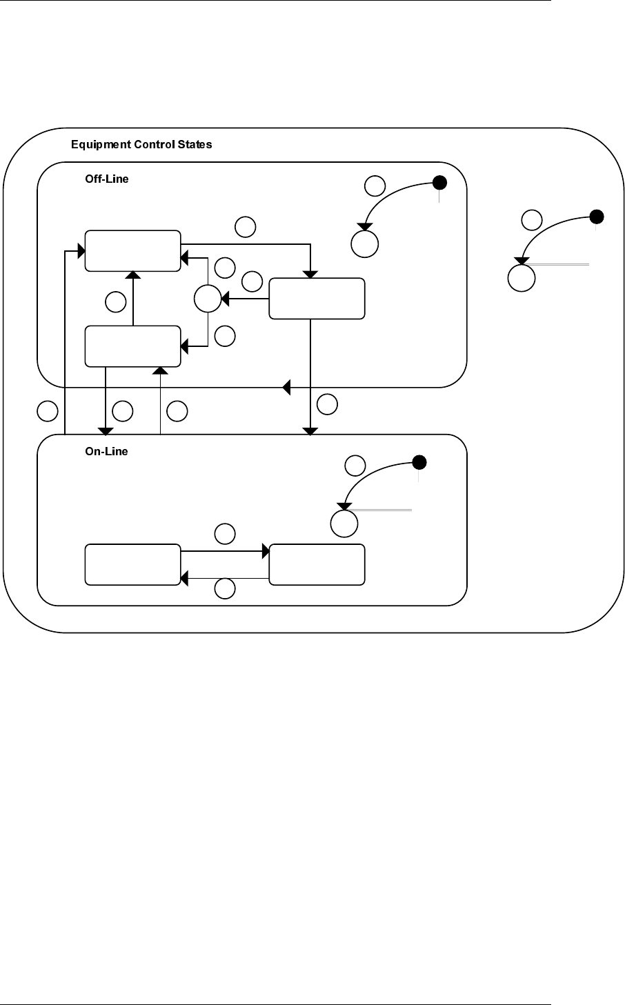
&RQWURO)LQLWH6WDWH'HVFULSWLRQ
The Control State of the Equipment is illustrated in the Control Finite State Diagram. The
SIPLACE behaves differently and will accept different messages depending on its current
control state. The purpose of this diagram is to make clear to the Host exactly what is
happening at the Equipment. The logic for these states and transitions is the logic
specified in the GEM standard.
Equipment C
Off-Line
Host
Off-Line
C
Attempt
On-Line
3
7
5
6
4
C
1
2
Local Remote
12
13
C
11
14 10 9
8

SIPLACE GEM for S25, HS50 SW Version GEM 502.01
HOST Interface Manual
Page 26 of 236 ©Siemens AG, all rights reserved
&RQWURO6WDWH7UDQVLWLRQV
Certain state transitions will cause a collection event to be signaled. If the event is
enabled, this event will be sent to the Host along with the appropriate reports if
appropriate. This table lists the state transitions and notes when events will be sent to the
Host.
# From Trigger To Description
1 Unknown Power-Up Conditional This transition is made
to either the Off-Line or
On-Line state,
depending on the EC
INITCONTROLSTATE
(VID 1002005).
2 Unknown Power-Up Conditional This conditional
transition is governed by
the value of the
OFFLINESUBSTATE
EC (VID 1002010).
3 Equipment
Off-Line
Operator requests to
go On-Line
Attempt On-
Line
The SIPLACE will
immediately send an
S1F1 to request to go
On-Line.
4 Attempt On-
Line
Unsuccessful On-
Line request
Conditional This transition occurred
because the Host did
not reply to an S1F1
with an S1F2 or
because the S1F1 was
not successfully sent.
5 Conditional ONLINEFAILED
Equipment Constant
configured to
Equipment Off-Line.
Equipment
Off-Line
Equipment will allow the
operator to attempt to
go On-Line again.
6 Conditional ONLINEFAILED
Equipment Constant
configured to Host
Off-Line.
Host Off-
Line
The SIPLACE will
accept a Host initiated
request to go On-Line
by replying to the S1F17
with ONLACK = 0x00.
7 Host Off-
Line
Operator requests to
go Off-Line
Equipment
Off-Line
A Host request to go
On-Line will not be
accepted.
8 Attempt On-
Line
Successful On-Line
request.
On-Line The Equipment is now
On-Line.
9 On-Line Host puts the
Equipment Off-Line
by sending S1F15
and receiving the
S1F16 with OFLACK
= 0x00.
Host Off-
Line
EVENT:
GemEquipmentOFFLIN
E (CEID 1000005).
The SIPLACE will
accept a Host initiated
request to go On-Line
by replying to the S1F17
with ONLACK = 0x00.
10 Host Off-
Line
Successful
completion of S1F17
On-Line The Equipment is now
On-Line.