00193786-01 - 第23页
SIPLACE GEM SW Version GEM 505.01 HOST Interface Manual ©Siemens AG, all rights reserved page 23 of 236 2.2 Equipment to Host This section describes primary SECS me ssages sent by the Equipment, and the associated reply …

SIPLACE GEM SW Version GEM 505.01 HOST Interface Manual
Page 22 of 236 ©Siemens AG, all rights reserved
Primary Reply CState Description Notes
Namelist Request
S2F31 S2F32 4,5 Date and Time Send
S2F33 S2F34 4,5 Define Report
S2F35 S2F36 4,5 Link Event Report
S2F37 S2F38 4,5 Enable/Disable Event
Report
S2F39 S2F40 4,5 Multi-Block Inquire/Grant
S2F41 S2F42 (4),5 Remote Command with
Parameters
S2F43 S2F44 4,5 Reset Spooling Streams
and Functions
S2F45 S2F46 4,5 Define Variable Limits
Attributes
S2F47 S2F48 4,5 Variable Limit Attribute
Request
S5F3 S5F4 4,5 Enable/Disable Alarm
S5F5 S5F6 4,5 List Alarms
S5F7 S5F8 4,5 List Enabled Alarms E
S6F15 S6F16 4,5 Request Event Report
S6F17 S6F18 4,5 Request Annotated Event
Report
E
S6F19 S6F20 4,5 Request Report
S6F21 S6F22 4,5 Request Annotated Report E
S6F23 S6F24 4,5 Request Spooled Data
S7F1 S7F2 4,5 Process Program
Inquire/Grant
S7F3 S7F4 4,5 Unformatted Process
Program Send
S7F5 S7F6 4,5 Unformatted Process
Program Request
S7F17 S7F18 4,5 Process Program Delete
S7F19 S7F20 4,5 Process Program
Directory
S10F3 S10F4 4,5 Terminal Display, Single
S10F5 S10F6 4,5 Terminal Display, Multiple
S10F9 S10F10 4,5 Broadcast E

SIPLACE GEM SW Version GEM 505.01
HOST Interface Manual
©Siemens AG, all rights reserved page 23 of 236
2.2 Equipment to Host
This section describes primary SECS messages sent by the Equipment, and the
associated reply messages from the Host.
In the column headed "Notes", those messages marked with "E" are extensions beyond
GEM. Those messages marked with "N" are provided for non-GEM or older GEM
compatibility.
Messages marked with "L" will be implemented later.
Primary Reply Description Notes
-- (any) SnF0 Primary rejected while Off-Line
S1F1 S1F2 Are You There
S1F13 S1F14 Connect Request
S1F65 S1F66 Connect Request N
S2F17 S2F18 Date and Time Request
S5F1 S5F2 Alarm Report N
S5F71 S5F72 Alarm Report Block Send
S5F73 S7F74 Alarm Notification Send
S6F1 S6F2 Trace Data Send
S6F3 S6F4 Annotated Event Report Send N
S6F5 S6F6 Multi-Block Data Send Inquire/Grant
S6F9 S6F10 Event Report Send N
S6F11 S6F12 Event Report Send
S6F13 S6F14 Annotated Event Report Send N
S7F1 S57F2 Process Program Inquire/Grant L
S7F3 S7F4 Unformatted Process Program Send L
S7F5 S7F6 Unformatted Process Program
Request
L
S9F1 -- Error, Device ID
S9F3 -- Error, Stream
S9F5 -- Error, Function
S9F7 -- Error, Data
S9F9 -- Error, Transaction Timeout
S9F11 -- Error, Data Too Long
S10F1 S10F2 Terminal Request

SIPLACE GEM SW Version GEM 505.01 HOST Interface Manual
Page 24 of 236 ©Siemens AG, all rights reserved
3 Operating Characteristics
This section describes the working characteristics of the SIPLACE. It is divided into
sections, and each of these sections describe a particular aspect of the SIPLACE's
operating characteristics.
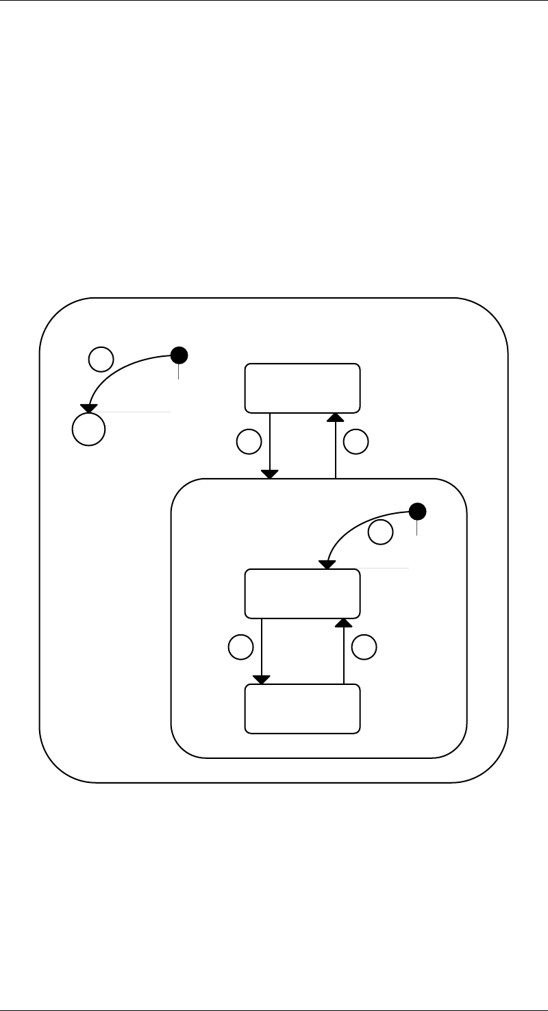
3.1 Communications States
The SIPLACE represents the current state of its SECS link using a Communication Finite
State Machine diagram. The purpose is to make clear how this link is initiated and
terminated.
3.1.1 Communications Finite State Description
The diagram on the following page explains the Communications Finite State Machine
that the SIPLACE maintains.
Communicating
Disabled
Not
Communicating
Enable
C
1
23
4
56
Communication State Diagram