KE-3010A_20VA_20VRA_使用说明书 - 第639页
第 1 部 基本篇 第 4 章 制作生产程序 4-243 4-5-4-3-3 检查速度 通过模拟动作对元件的吸取、识别、贴装时的 XY θ 偏移值进行检查,以判断生产程序的速度是否适 宜。确认速度功能流程概要,请见下图。 (1) 确认速度的操作方法 确认速度操作概要 从菜单中选择 [ 确认速度 ] ,显示 [ 确认速度 ] 画面。 在 [ 确认速度 ] 画面上设置检查内容。 选择 [ 检查 ] ( [F10] 键)按钮,开始…

第 1 部 基本篇 第 4 章 制作生产程序
4-242
6) 共面画面切换按钮。
显示共面画面。
7) 检查按钮
执行共面性检查。
共面性检查中显示如下画面。
显示正在进行检查的元件内容/吸取位置,逐项显示执行中的处理内容。
8) 返回按钮
结束共面性检查,返回到原来的画面。
9) 快捷键
在共面性检查画面中,可进行如下快捷键操作。
键盘 操作面板 HOD 键 动 作
F4
-
-
顶推供料器
F5
-
PREVIOUS
前代替元件
F6
-
NEXT
后代替元件
F7
-
―
切换共面画面
F8
-
―
检查条件调整
F10
-
ENTER
执行图像识别检查
ESC
-
CANCEL
返回
发生端子数错误时,请重新设置元件高度,或将曝光时间变更为 150~300。
发生共面错误、共线(平行)错误时,请使用其他元件检查,或调整判定值。

第 1 部 基本篇 第 4 章 制作生产程序
4-243
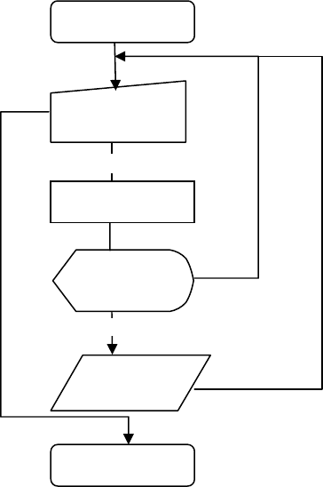
4-5-4-3-3 检查速度
通过模拟动作对元件的吸取、识别、贴装时的 XYθ 偏移值进行检查,以判断生产程序的速度是否适
宜。确认速度功能流程概要,请见下图。
(1) 确认速度的操作方法
确认速度操作概要
从菜单中选择 [确认速度] ,显示[确认速度] 画面。
在[确认速度] 画面上设置检查内容。
选择[检查]([F10] 键)按钮,开始执行检查,检查结束后显示检查结果。
在检查结果画面上选择 [确定]([F9] 键)时:将该检查结果输入到元件数据里,并返回
确认速度画面。
在检查结果画面上选择 [取消] (ESC 键)时:不输入检查结果,返回[确认速度]画面。
在确认速度画面上,可以用[前代替元件]([F5]键)、[后代替元件]([F6]键)向替代元件
移动。
确认速度开始
设定条件
(
对
话框)
确认速度检查
将结果存入
生产程序
显示结果
(对话框)
结束
开始检查
确定
取消

第 1 部 基本篇 第 4 章 制作生产程序
4-244
(2)设置确认速度的条件
从菜单上选择「确认速度
」后,会显示如下的设置确认速度画面。
1) 检查元件
显示要检查元件的内容。
2)吸取位置吸取偏移量
显示吸取元件时的吸取位置的内容。可以更改为前代替元件和后代替元件的吸取位置。
在没有吸取数据的情况下,各项目为非显示,不能进行吸取位置的变更、送料和示教。
● 送料
顶推一次供料器,送出元件。(32mm 纸带除外)。
●偏移量
需要移动吸取坐标时进行此项设定。也可以用示教功能进行示教。不反映到吸取数据。
检查时使用的元件吸取位置与实际位置不同时,可以使用示教功能对吸取坐标进行示教。
也可不采用示教方法,而用手动输入更改坐标。
① 把光标移动到 X 或 Y 坐标上。
②按下功能栏的[示教]按钮,打开示教画面。进行坐标示教,按下[OK]按钮,
取得所示教的坐标数据。