00191759-01 - 第304页
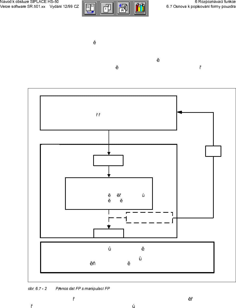
W , , W 9êY RMRY pGLDJUDP\NSURJUDPRYiQtDWHVWRYiQtIRUP\ SRX]GUD)3 6RXþiVWN\MVRX XRVD]RYDFtFKD XWRPDW 6,3 /$&( FHQWURY iQ\ RSWLFN\ .WRPX MH]D SRW HE t Y\ KRWRY LWSRSLVIRUP\ SRX]GUD…

W ,,W
± Y\KRGQRFHQtNXELFNpQHNXELFNp
± $XWRPDWLFNpQDVWDYHQtRVY
WOHQt
,QWHSUHW)3]SUDFRYiYiVWDQGDUGQtVRXþiVWN\DXUþLWp]YOiãWQtVRXþiVWN\DXWRPDWLFN\-LQp
VRXþiVWN\PXVtEêW]SUDFRYiYiQ\SRGOHRNROQRVWtGRGDWHþQ
3RNXGMHQXWQpPDQLSXORYDWV
QDVWDYHQtPLIRUP\SRX]GUDMVRXW\WR]P
Q\XORåHQ\YVRXERUX667D]QRYXS HQiãHQ\N
OLQNRYpPXSRþtWDþL
3RNXGMHNHVWDQLFLS HQiãHQDIRUPDSRX]GUDVHVRXERUHP667MVRXNP HQtIRUP\SRX]GUD
S
HY]DWDQDVWDYHQtVRXERUX667,QWHUSUHW)3] VWiYiQHDNWLYQt
LR
GF-Bibliothek
GF & Bauelemente beschreiben
Pipetten zuordnen
Kameras auswählen
.OGF
GF-Interpreter
SR
MVS
Automatische Auswahl der Meßmodi
Automatische Beleuchtungsauswahl
Festplatte
GF-Manipulator
.SST
Wichtiger Hinweis:
Das Manipulieren von Bauelementen an der Station muß die Ausnahme bleiben.
In der Regel müssen nur wenige Bauelemente verändert werden.
/3
36
Å )3NQLKRYQD
Å )3SRSVDWVRXþiVWN\
Å S L DGLWSLSHW\
Å Y\EUDWNDPHU\
SHYQêGLVN
)3LQWHUSUHW
Å DXWRPDWLFNêYêE UP tFtFKUHåLP L
Å DXWRPDWLFNêYêE URVY WOHQt
)3PDQLSXOiWRU
' OHåLWpXSR]RUQ Qt
0DQLSXODFHVHVRXþiVWNDPLQDVWDQLFLPXVt]
VWDWYêMLPNRX=SUDYLGODPXVtEêW
SR]P RYiQRSRX]HQ NROLNPiORVRXþiVWHN

W ,,W
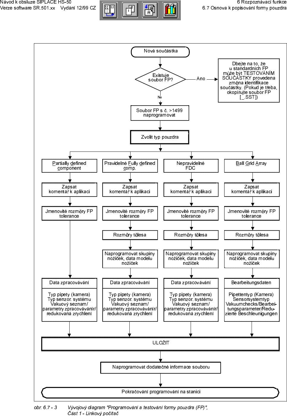
9êYRMRYpGLDJUDP\NSURJUDPRYiQtDWHVWRYiQtIRUP\SRX]GUD)3
6RXþiVWN\MVRXXRVD]RYDFtFKDXWRPDW 6,3/$&(FHQWURYiQ\RSWLFN\.WRPXMH]DSRW HEt
Y\KRWRYLWSRSLVIRUP\SRX]GUDVRXþiVWN\QHMSUYHQDOLQNRYpPSRþtWDþL6,3/$&('RSRUXþXMHPH
Y\KOHGiYDWGHILQLFHIRUP\SRX]GUDDUR]P
U\IRUP\SRX]GUDYåG\YGDWRYpPOLVWX
1DVWDYHQt)3PRKRXEêWP
Q QDQDVWDQLFL([LVWXMtU ]QpPHWRG\P HQt3RGOHWRKRVHP QtL
QDVWDYHQtRVY
WOHQt6RSWLPiOQtNRPELQDFtYHãNHUêFKPRåQRVWtQDVWDYHQtMHPRåQpFHQWURYDW
RSWLFN\WpP
YãHFKQ\VRXþiVWN\
2YãHPGEHMWHQDWRåHMDNRVWDQGDUGMHMLåGHILQRYiQRYHONpPQRåVWYtIRUHPSRX]GUDDSURWRE\
PDQLSXODFHVIRUPDPLSRX]GUDQDVWDQLFLP
OR] VWDWYêMLPNRX
3URWR9iPQDEt]tPHMDNRVOXåEXGHILQLFL)3]YOiãWQtFKVRXþiVWHNDVRXþiVWHNNWHUpO]HSRX]H
REWtåQ
FHQWURYDW9S tSDG SRW HE\VHREUD WHQDQDãLDSOLNDFL

W ,,W
Beachten Sie bitte, daß bei
den Standard-GF’s durch
BE-TESTEN eine Änderung
der BE-Erkennung vorge-
nommen werden kann.
(nötigenfalls GF-file
[_.SST file] umkopieren)
GF Datei mit Nr. >1499
programmieren
Gehäusetyp wählen
Unregelmäßige
FDC
Regelmäßige
F
ully defined Comp.
P
artially defined
C
omponent
Ball Grid Array
Anwenderkommentar
eintragen
Anwenderkommentar
eintragen
Anwenderkommentar
eintragen
Anwenderkommentar
eintragen
GF-Nennmaße und
Toleranzwerte
GF-Nennmaße und
Toleranzwerte
GF-Nennmaße und
Toleranzwerte
GF-Nennmaße und
Toleranzwerte
KörperdimensionenKörperdimensionen Körperdimensionen
Bearbeitungsdaten
Pipettentyp (Kamera)
Sensorsystemtyp
Vakuumchecks / Bearbei-
tungsparameter / Redu-
zier. Beschleunigungen
Bearbeitungsdaten
Pipettentyp (Kamera)
Sensorsystemtyp
Vakuumchecks / Bearbei-
tungsparameter / Redu-
zier. Beschleunigungen
Bearbeitungsdaten
Pipettentyp (Kamera)
Sensorsystemtyp
Vakuumchecks / Bearbei-
tungsparameter / Redu-
zier. Beschleunigungen
Bearbeitungsdaten
Pipettentyp (Kamera)
Sensorsystemtyp
Vakuumchecks / Bearbei-
tungsparameter / Redu-
zier. Beschleunigungen
SICHERN
Fortsetzung der Programmierung an der Station
Beinchengruppen-,
Beinchenmodell-
daten programm.
Beinchengruppen-,
Beinchenmodell-
daten programm.
Ballraster-,
Ballmodelldaten
programm.
Neues Bauelement
GF-Datei
vorhanden?
Nein
Ja
Dateizusatzinformationen programmieren