00191759-01 - 第308页
W , , W 3RNXGMHVRXþiVWNDFHQWU RYiQDVSU iYQ MHPRå Qp XSXVWLWRG GRGDWH þQê FKPHWRGP HQt 3URY H WHDOHY ãHFKQ\NUR N\KUXEpKR FHQWURY iQtSURWR åH W\WR] PHQãtRNQDP HQ t ± 9P HQX7 HVWRY iQtVRX…

W ,,W
)RUP\WYDUXDPRåQpPHWRG\P HQtNKUXEpPXDMHPQpPXFHQWURYiQt
3RNXGVHMHGQDQHERQ NROLNYêVOHGQêFKKRGQRWQDFKi]tPLPRWROHUDQFL
QHQtVRXþiVWNDRVD]HQD
)RUPDNRQVWUXNFH
6,=(
52:
&251(5
/HDG
.RPELQRYDQiRNQD
Y\KRGQRFHQt
/HDG2GG OHQp
RNQDY\KRGQRFHQt
*ULG
%DOO
9êVOHGHNSRVOHGQtKR
NURNXP
HQt
3'&EH]QRåLþHN *)
∆;∆<∆IGpOND%(
ãt
NDNYDOLWD
3'&]REUKUXEp *) ) ÒKORYiWROHUDQFH
0DOp)'&QDS
QRåLþN\
*) )
∆;∆<∆IGpOND%(
ãt
NDNYDOLWD
)'&SUDYLGHOQpV
NUiWNêPL DGDPL3,1
*)
VWUDQ
Q
)
QH
VWUDQ
Q
)
0D[RGGFK\ONDG
OHQt
∆;∆<∆I
NYDOLWD
)'&SUDYLGHOQpV
GORXKêPL
DGDPL3,1
*)
VWUDQ
Q
)
QH
VWUDQ
Q
)
0D[RGFK\ONDG
OHQt
∆;∆<∆I
NYDOLWD
)'&QHSUDYLGHOQpV
NUiWNêPL DGDPL3,1
**) )
∆;∆<SRþHW3,1
NYDOLWDPD[RGFK\OND
G OHQt
)'&QHSUDYLGHOQpV
GORXKêPL
DGDPL3,1
**) )
∆;∆<SRþHW3,1
NYDOLWDPD[RGFK\OND
G
OHQt
)'&QHSUDYLGHOQpV
MHGQRX
DGRX3,1
Q
NROLNDPRGHO\3,1
QHERG
OHQt
** )
∆;∆<∆IQRUPRYDQi
RGFK\ONDQRåLþHN
NYDOLWDSRþHW3,1
VHNXQGiUQtRIIVHW
)'&VVNUXKRY
VHJPHQWRYDQêPL
S L D]HQtPL3,1
* * )
∆;∆<∆IQRUPRYi
RGFK\ONDQRåLþHN
NYDOLWDSRþHW3,1
VHNXQGiUQtRIIVHW
%*$)OLS&KLS * * )
∆;∆<∆IG OHQt
~KHONYDOLWD

W ,,W
3RNXGMHVRXþiVWNDFHQWURYiQDVSUiYQ MHPRåQpXSXVWLWRGGRGDWHþQêFKPHWRGP HQt
3URYH
WHDOHYãHFKQ\NURN\KUXEpKRFHQWURYiQtSURWRåHW\WR]PHQãtRNQDP HQt
± 9PHQX7HVWRYiQtVRXþiVWN\MHSURYHGHQRRSWLFNpFHQWURYiQtVRXþiVWHNSURVW
HGQLFWYtP
IXQNFH.RQWURODVRXþiVWN\YMHGQRWOLYêFKNURFtFKP
HQtEH]Y\GiQtYêVOHGN P HQt
± 9PHQX7HVWRYiQtVRXþiVWN\MHRWSLFNpFHQWURYiQtVRXþiVWHNSURYHGHQRSURVW
HGQLFWYtP
IXQNFH0
HQtVRXþiVWN\YHYãHFKNURFtFKP HQtVY\GiQtPYêVOHN P HQt
± 3RNXGMVRXVRXþiVWN\Y
WãtQHåPP[PPMHDXWRPDWLFN\SURYiG QRQ NROLNDQiVREQp
P
HQtYHYL]XiOQtPV\VWpPX

W ,,W
7HVWRYiQtVRXþiVWN\2SWLFNp]Qi]RUQ QtQDSURJUDPRYDWGUXK\P HQt
9PHQX7HVWRYiQtVRXþiVWN\MHY\]YHGQXWiVRXþiVWNDXPtVW QDGRVYpSRORK\NHNDPH HD
]REUD]HQD1DUHYROYHURYpKODY
MHVRXþiVWND]REUD]HQDVRKOHGHPQD~KHORVD]RYiQt
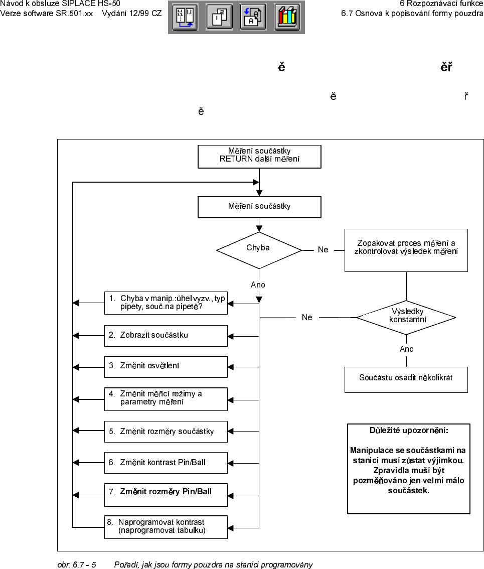
Nein
Nein
Ja
Fehler
1. Handlingfehler: Abholwinkel
Pipettentyp, BE an Pipette ?
2. BE darstellen
3. Beleuchtung verändern
4. Meßmodi und Meßparameter
verändern
5. BE-Dimension verändern
6. Pin/Ball-Kontrast verändern
7. Pin/Ball-Dimensionen
verändern
8. Kontrast programmieren
(Tafel programmieren)
Wichtiger Hinweis:
Das Manipulieren von
Bauelementen an der Station
muß die Ausnahme bleiben.
In der Regel müssen nur
wenige Bauelemente
verändert werden
BE mehrmals bestücken
Meßvorgang wiederholen
und Meßergebnis prüfen
BE messen
BE messen
RETURN nächste Messung
Ergebnisse
konstant?
Ja