KE2040取扱説明書Ver.2.01和文Rev.04 - 第561页
7 – 134 7-7-3-4-2. 連続検査シーケンス 連続検査シーケンス 連続検査シーケンス 連続検査シーケンス SOT 連続検査の機能を以下に示します。 表 表 表 表 7-7- 3-4-2 SOT 方向単独検査機能 方向単独検査機能 方向単独検査機能 方向単独検査機能 項目名 動作内容 備考 1.検査実行の可否チェック、 使用装置の使用可否チェック 生産プログラムの完成可否チェック チェックエラー時は エラー表示 2.初…

7 – 133
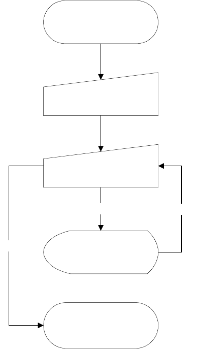
● 単独検査シーケンスを図 7-7-3-4-1 に示します。
START
検査実行
(ダイアログ)
実行中
ダイアログ表示
検査部品選択
(ダイアログ)
END
検査結果
終了
実行
図
図図
図 7-7-3-4-1 SOT 方向単独検査シーケンス
方向単独検査シーケンス方向単独検査シーケンス
方向単独検査シーケンス

7 – 134
7-7-3-4-2. 連続検査シーケンス
連続検査シーケンス連続検査シーケンス
連続検査シーケンス
SOT 連続検査の機能を以下に示します。
表
表表
表 7-7-3-4-2 SOT 方向単独検査機能
方向単独検査機能方向単独検査機能
方向単独検査機能
項目名 動作内容 備考
1.検査実行の可否チェック、
使用装置の使用可否チェック
生産プログラムの完成可否チェック
チェックエラー時は
エラー表示
2.初期化
単独検査開始
ドライバ初期化など
1.検査実行部品の選択
部品選択
2.部品情報の表示
ダイアログ表示
検査対象部品がない
時はエラー表示
1.部品情報の表示
2.吸着位置の表示
3.吸着位置の微調整
ティーチング手入力による微調整
吸着データへの調整値反映有無
4.吸着部品の選択
代替フィーダーへの変更
5.フィーダーのノック制御
6.検査結果の表示
検査実行
7.SOT方向検査実行
ダイアログ表示
1.部品吸着制御
2.SOT方向検査実行制御
SOT方向検査
3.部品返却制御
1.終了処理
単独測定終了
ドライバ終了など

7 – 135
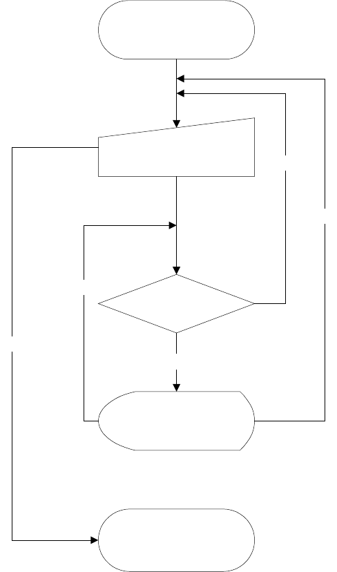
● 単独検査シーケンスを図 7-7-3-4-2 に示します。
START
実行中(結果)
ダイアログ表示
検査部品条件設定
(ダイアログ)
END
終了
該当部品
チェック
ある
ない
次部品検査
中断
図
図図
図 7-7-3-4-2 SOT 方向連続検査シーケンス
方向連続検査シーケンス方向連続検査シーケンス
方向連続検査シーケンス