KE2040取扱説明書Ver.2.01和文Rev.04.pdf - 第780页
13 - 40 13-13-8. エラー処理 エラー処理 エラー処理 エラー処理 コプラナリティ検査実行時のエラーにより、部品を未搭載の時、エラーログが表示されます。 図 図 図 図 13-13-8-1 エラー画面ダイアログ エラー画面ダイアログ エラー画面ダイアログ エラー画面ダイアログ 図 図 図 図 13-13-8-2 ポーズ画面ダイアログ ポーズ画面ダイアログ ポーズ画面ダイアログ ポーズ画面ダイアログ

13 - 39
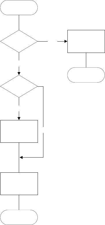
■ コプラナリティユニットの検査の流れ
コプラナリティユニットの検査の流れコプラナリティユニットの検査の流れ
コプラナリティユニットの検査の流れ
図
図図
図 13-13-7(1) 処理フロー(コプラナリティ検査の流れ
処理フロー(コプラナリティ検査の流れ処理フロー(コプラナリティ検査の流れ
処理フロー(コプラナリティ検査の流れ
START
BGAか?
コリニアリティ
検査(注2)
コプラナリティ
検査(注1)
はい
一方向リード
コネクタか?
コプラナリティ
検査(注3)
いいえ
いいえ
はい
END
END
注1)BGA、FBGAのコプラナリティ検査は、最小自乗平面法のみです。
注2)コリニアリティ検査は一方向リードコネクタでは実施しません。
注3)一方向リードコネクタのコプラナリティ検査は現状コリニアリティ検査と同様です。

13 - 40
13-13-8.エラー処理
エラー処理エラー処理
エラー処理
コプラナリティ検査実行時のエラーにより、部品を未搭載の時、エラーログが表示されます。
図
図図
図 13-13-8-1 エラー画面ダイアログ
エラー画面ダイアログエラー画面ダイアログ
エラー画面ダイアログ
図
図図
図 13-13-8-2 ポーズ画面ダイアログ
ポーズ画面ダイアログポーズ画面ダイアログ
ポーズ画面ダイアログ

13 - 41
13-13-9.コプラナリティ検査動作概要
コプラナリティ検査動作概要コプラナリティ検査動作概要
コプラナリティ検査動作概要
コプラナリティ検査実行時の軸のセンサ上での動作を以下に示します。
13
1313
13-
--
-13
1313
13-
--
-9
99
9-
--
-1.
1.1.
1.一括計測部品
一括計測部品一括計測部品
一括計測部品
<13-13-3 項の (3) 測定モード、部品寸法> に示す、一括の部品サイズの場合、
“
““
“
一方向へ走査し
一方向へ走査し一方向へ走査し
一方向へ走査し計測
計測計測
計測 ”
””
”します。
図
図図
図 13-13-9-1 一括計測動作図
一括計測動作図一括計測動作図
一括計測動作図
13
1313
13-
--
-13
1313
13-
--
-9
99
9-
--
-2.
2.2.
2.分割計測部品
分割計測部品分割計測部品
分割計測部品
<13-13-3 項の (3) 測定モード、部品寸法> に示す、分割の部品サイズの場合、
“
““
“
コの時に走査し計測
コの時に走査し計測コの時に走査し計測
コの時に走査し計測 ”
””
”します。
図
図図
図 13-13-9-2 分割計測動作図
分割計測動作図分割計測動作図
分割計測動作図