OM-1076-001.pdf - 第162页
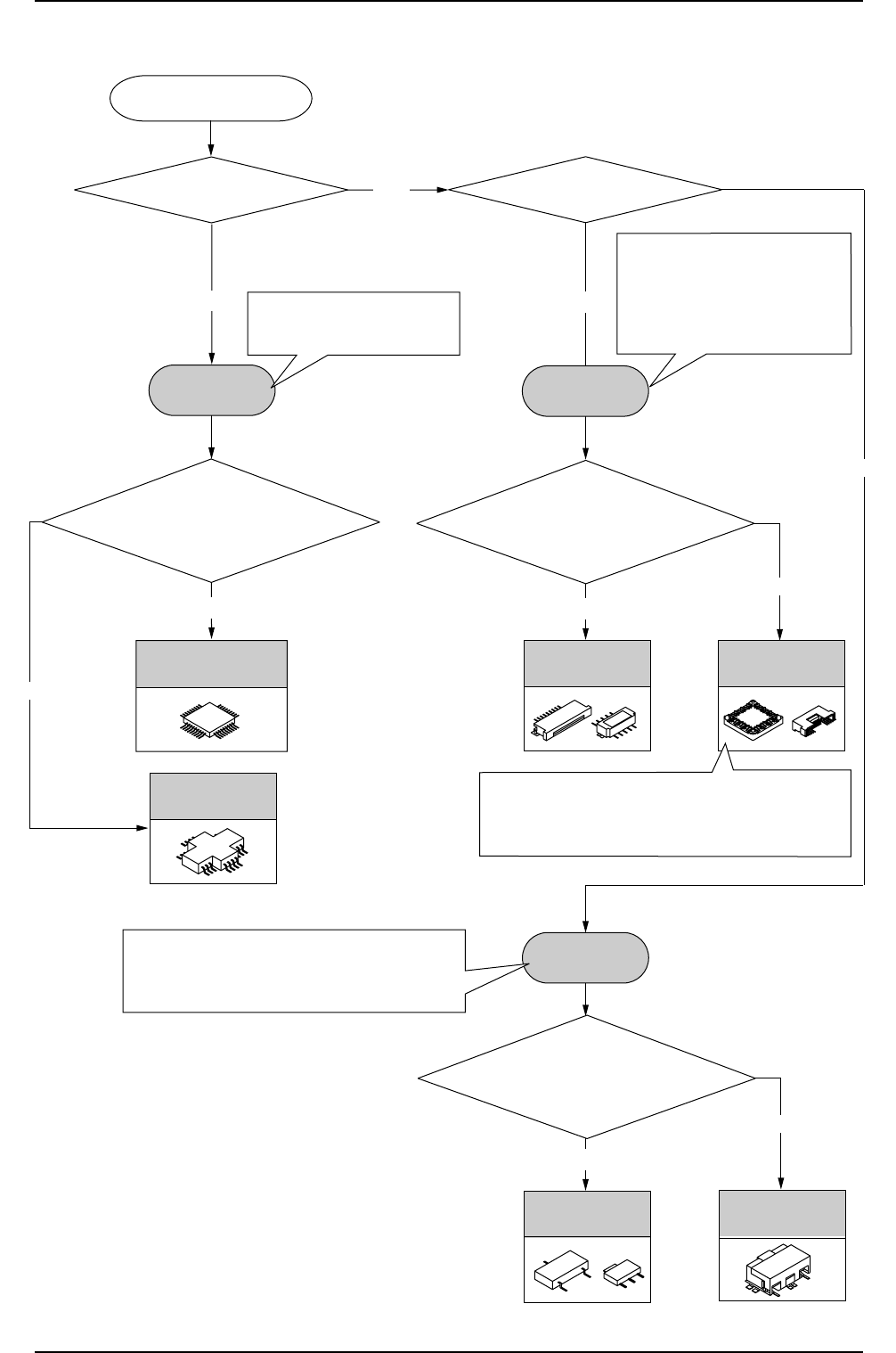
2.1 Check Procedure 0107-001 4-5 Tg0502-PM-CL Leaded Components Fig. D3 IC Leaded Are they ICs? SOP , QFP , TSOP , PLCC, SOJ, LCC, etc. Are all the leads on one side sticking out from the same plane (edge)? IC (Simple) I…

(2) Divide the components into three groups - leaded, leadless, and
area array ones. After that, follow the flow chart to specify the
component shapes.
2.1 Check Procedure
0107-001 4-4 Tg0502-PM-CL
Leadless Components
Fig. D2
Leadless
Are they cylindrical?
No
No
No
Are they Square?
Cylindrical
Condition of Cylindrical
Components
Three corners can be recognized.
Recognizable Corners
Unrecognizable Corners
Deform
(Simple)
Deform
(Complex)
Condition of Deform
(Simple) Components
Recognizable Edges
Unrecognizable Edges
Square
Yes
Yes
Yes
Condition of Square
Components
All edges of a component
should be formed by straight
lines without any convex
and concave parts.
Or, three corners can be
recognized.
At least 2 edges can be
recognized.
Is the
outside of the
component enclosed
by four straight lines which
are crossed at an angle
of 90 with each
other?

2.1 Check Procedure
0107-001 4-5 Tg0502-PM-CL
Leaded Components
Fig. D3
IC
Leaded
Are they ICs?
SOP, QFP, TSOP,
PLCC, SOJ, LCC, etc.
Are all the leads on one
side sticking out from the same
plane (edge)?
IC (Simple)
IC (Complex)
Are they connectors?
Connector
Connectors for FFC/FPC,
PCB -to- PCB
Connectors, Wire-to-
PCB Connectors,
PLCC Sockets, etc.
Connector
(Simple)
Connector
(Complex)
The components with leads sticking out
inward are classified as complex ones
(components in complex shape).
Other Leaded
Mini-Mold Transistors, Mini-Power
Transistors, Filters, Diodes, LEDs,
Coils, etc.
Other Leaded
(Simple)
Yes
Yes
Are all the leads on one
side sticking out from the same
plane (edge)?
Yes
No
Yes
No
No
Are all the leads on one
side sticking out from the same
plane (edge)?
Other Leaded
(Complex)
Yes
No
No

2.1 Check Procedure
0107-001 4-6 Tg0502-PM-CL
Yes
BGA/CSP
Area Array
Is this BGA,
LGA or BGA type CSP
component?
Area Array Components
Fig. D4