高速引脚元件轴向插件机.pdf - 第90页
AVK3 操作手册 5.1 生产准备 5.1. 3 当改变生产产品类型时,必须选择适当的 NC 数据。这些数据要从贮存在机器中的数据 中选出。当使用软盘中的数据时,应事先在设备中装入(拷入)所需的文件。 在选定自动宽度调整功能后,也要选择印刷板数据。 选择 NC 数据和元件数据后,输入生产数量和和跳过程序段。 = = 插件机记忆装置容量 装入 插件机记忆装置 程序选择 插件机初始设定 输入/选择 从 32 种数据中选一种 (以及 宽度…

AVK3
操作手册
5.1 生产准备
5.1.2
在插件机开始自动运行之前,务必准备好 NC 数据和元件数据。
按照以下各节讲解的步骤输入程序。
当装入宽度自动调整功能(任选)时必须准备好印刷线路板数据。
NC
生成新的 NC 数据 →“编程手册/NC 数据的生成”。
生成 NC 数据用的新的元件数据 →“编程手册/元件数据的生成”。
生成新的生产印刷线路板的数据 →“编程手册/印刷线路板数据的生成”。
D77OCC-31-010-A0
5.1-6

AVK3
操作手册
5.1 生产准备
5.1.3
当改变生产产品类型时,必须选择适当的 NC 数据。这些数据要从贮存在机器中的数据
中选出。当使用软盘中的数据时,应事先在设备中装入(拷入)所需的文件。
在选定自动宽度调整功能后,也要选择印刷板数据。
选择 NC 数据和元件数据后,输入生产数量和和跳过程序段。
= =
插件机记忆装置容量
装入
插件机记忆装置
程序选择
插件机初始设定
输入/选择
从 32 种数据中选一种(以及
宽度自动调整的选购功能)。
从 32 种数据中选
一种。
从 32 种数据中选
一种。
各种数据
(生产计划、跳跃
程序段数等。)
印刷线路板数据元件数据 NC 数据
NC 数据: 最多 32 个程序或 5000 步作为整个程序段
(在一个程序中最多能贮存 2000 步)。
元件数据: 最多 32 个程序。
印刷线路板数据(任选):最多可贮存 32 种印刷线路板数据(任选)。
D77OCC-31-010-A0
5.1-7

AVK3
操作手册
5.1 生产准备
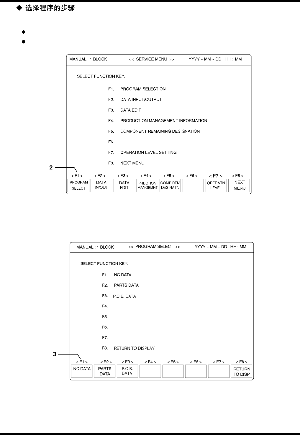
7.
1.
调出使用功能菜单栏。
如果当前屏幕显示的是机器检查或机器状态显示栏,按“REQEST(请求)”键。
如果当前屏幕显示的是使用功能栏,则按“F8”(返回显示)直至显示出使用功能菜单栏。
2.
按“F1”(程序选择)。
显示出“程序选择”栏。
D77OCC-31-010-A0
5.1-8