2500_Users_Manual- - 第257页
1681-2 DEVICE EJECTOR PIN DEVICE EJECTOR SPRING PROGRAMMING BLOCK ASSEMBLY GOLD PIN 1668-1 CONTACT SET PROGRAMMING BLOCK ASSEMBLY SCREW (1 of 2 per Contact Set) Repair and Replacement Procedures 4. Figure 7-24 Removing t…

1649-1
CONFIGURATION BLOCK
CONFIGURATION CONNECTOR
CONTACT SET
(1 of 4)
2
0
A
1
X
4
X
BLOCK ALIGNMENT
PIN (1 of 2)
PROGRAMMING
BLOCK ASSEMBLY
CIRCUIT BOARD
SCREW HOLE (1 of 2)
CONFIGURATION
CONNECTOR (1 of 4)
1669-2
Repair
and
Replacement
Procedures
Figure
7-22
Removing
the
Configuration
Blocks
Figure
7-23
Removing
the
Programming
Block
When
you
have
determined
that
the
contacts
need
replacing,
perform
the
operations
described
in
the
steps
below.
You
will
need
the
following
items
to
complete
this
procedure:
•
1/16-inch
hex
driver
•
0.050-inch
hex
driver
•
Four
new
contact
sets
1.
Remove
the
configuration
blocks
from
all
four
sides
(see
Figure
7-22).
2.
Turn
the
board
upside
down.
Use
the
0.050-inch
hex
driver
to
remove
the
two
screws
holding
the
programming
block
to
the
circuit
board.
Be
careful
not
to
strip
the
screws.
3.
Keep
the
module
in
the
upside-down
position
and
gently
pull
the
board
from
the
programming
block
assembly
(see
Figure
7-23).
7-32
ProMaster
2500
User
Manual

1681-2
DEVICE EJECTOR PIN
DEVICE EJECTOR SPRING
PROGRAMMING
BLOCK ASSEMBLY
GOLD PIN
1668-1
CONTACT SET
PROGRAMMING BLOCK
ASSEMBLY
SCREW (1 of 2
per Contact Set)
Repair
and
Replacement
Procedures
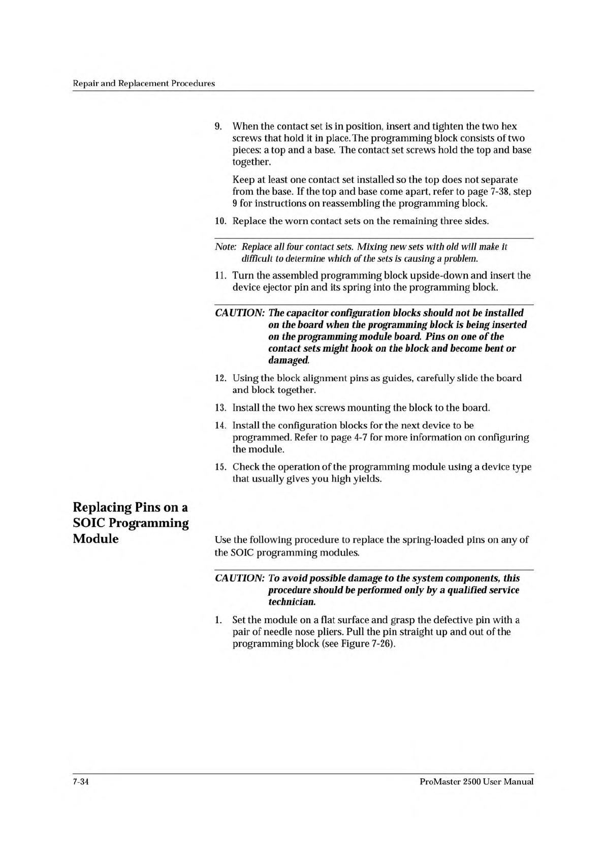
4.
Figure
7-24
Removing
the
Device
Ejector
Pin
and
Spring
5.
6.
7.
Figure
7-25
Removing
the
Contact
Set
The
device
ejector
pin
and
ejector
spring
are
loose
and
will
drop
out
into
your
hand
when
you
turn
the
block
upright
(see
Figure
7-24).
Set
these
aside;
you
will
reinstall
them
later.
Use
a
1/16-inch
hex
driver
to
remove
the
two
screws
holding
the
contact
set
in
place.
Gently
pivot
the
base
of
the
contact
set
out
from
the
programming
block
and
then
lift
the
set
straight
up
(see
Figure
7-25).
Wipe
the
new
contacts
with
a
DeoxIT
pen
from
the
top
of
each
contact
lead
to
its
end
(the
portion
of
the
contact
that
touches
the
device's
leads).
Remove
any
excess
DeoxIT
with
a
clean,
dry
cotton
swab.
Preparing
the
leads
in
this
way
ensures
that
they
are
clean
and
well
lubricated.
8.
Insert
the
new
contact
set
into
the
programming
block.
Hold
the
set
at
an
angle
and
gently
feed
the
tips
of
the
contact
set
into
the
holes
in
the
top
of
the
programming
block.
Make
certain
that
all
the
tips
in
the
set
have
seated
into
their
holes
before
swinging
the
set's
base
into
position
along
the
block.
Failure
to
insert
all
the
tips
in
their
correct
positions
could
result
in
damage
to
the
contacts.
ProMaster
2500
User
Manual
7-33

Repair
and
Replacement
Procedures
9.
When
the
contact
set
is
in
position,
insert
and
tighten
the
two
hex
screws
that
hold
it
in
place.
The
programming
block
consists
of
two
pieces:
a
top
and
a
base.
The
contact
set
screws
hold
the
top
and
base
together.
Keep
at
least
one
contact
set
installed
so
the
top
does
not
separate
from
the
base.
If
the
top
and
base
come
apart,
refer
to
page
7-38,
step
9
for
instructions
on
reassembling
the
programming
block.
10.
Replace
the
worn
contact
sets
on
the
remaining
three
sides.
Note:
Replace
all
four
contact
sets.
Mixing
new
sets
with
old
will
make
让
difficult
to
determine
which
of
the
sets
is
causing
a
problem.
11.
Turn
the
assembled
programming
block
upside-down
and
insert
the
device
ejector
pin
and
its
spring
into
the
programming
block.
CAUTION:
The
capacitor
configuration
blocks
should
not
be
installed
on
the
board
when
the
programming
block
is
being
inserted
on
the
programming
module
board.
Pins
on
one
of
the
contact
sets
might
力
oo
及
on
the
block
and
become
bent
or
damaged.
12.
Using
the
block
alignment
pins
as
guides,
carefully
slide
the
board
and
block
together.
13.
Install
the
two
hex
screws
mounting
the
block
to
the
board.
14.
Install
the
configuration
blocks
for
the
next
device
to
be
programmed.
Refer
to
page
4-7
for
more
information
on
configuring
the
module.
15.
Check
the
operation
of
the
programming
module
using
a
device
type
that
usually
gives
you
high
yields.
Replacing
Pins
on
a
SOIC
Programming
Module
Use
the
following
procedure
to
replace
the
spring-loaded
pins
on
any
of
the
SOIC
programming
modules.
CAUTION:
To
avoid
possible
damage
to
the
system
components,
this
procedure
should
be
performed
only
by
a
qualified
service
technician.
1.
Set
the
module
on
a
flat
surface
and
grasp
the
defective
pin
with
a
pair
of
needle
nose
pliers.
Pull
the
pin
straight
up
and
out
of
the
programming
block
(see
Figure
7-26).
7-34
ProMaster
2500
User
Manual