2500_Users_Manual- - 第348页
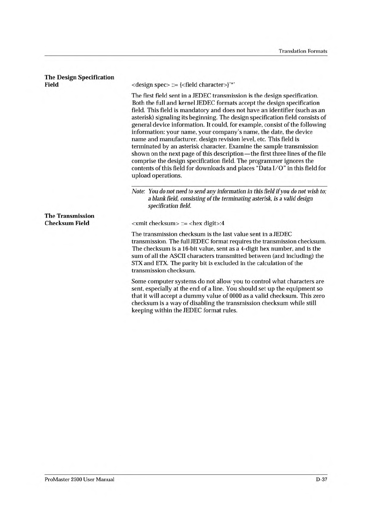
ABEL(tm) Version 2.00b JEDEC file for:P20R8 Large Memory Version Created on: 09-Mar-87 04:45 PM 8-bit barrel shifter EngineerI Data I/O Corp Redmond WA 10 Jan 1986* QP24* QF2560* L0000 11011111111111111111111111111011101…

Translation
Formats
The
Design
Specification
Field
<
design
spec〉
::
=
{<field
character〉}'*'
The
first
field
sent
in
a
JEDEC
transmission
is
the
design
specification.
Both
the
full
and
kernel
JEDEC
formats
accept
the
design
specification
field.
This
field
is
mandatory
and
does
not
have
an
identifier
(such
as
an
asterisk)
signaling
its
beginning.
The
design
specification
field
consists
of
general
device
information.
It
could,
for
example,
consist
of
the
following
information:
your
name,
your
company's
name,
the
date,
the
device
name
and
manufacturer,
design
revision
level,
etc.
This
field
is
terminated
by
an
asterisk
character.
Examine
the
sample
transmission
shown
on
the
next
page
of
this
description
—
the
first
three
lines
of
the
file
comprise
the
design
specification
field.
The
programmer
ignores
the
contents
of
this
field
for
downloads
and
places
“Data
1/
O”
in
this
field
for
upload
operations.
Note:
You
d
。
not
need
to
send
any
information
in
this
field
ifyou
do
wish
to;
a
blank
field,
consisting
of
the
terminating
asterisk,
is
a
valid
design
specification
field.
The
Transmission
Checksum
Field
<xmit
checksum〉
::=
<hex
digit>:4
The
transmission
checksum
is
the
last
value
sent
in
a
JEDEC
transmission.
The
full
JEDEC
format
requires
the
transmission
checksum.
The
checksum
is
a
16-bit
value,
sent
as
a
4-digit
hex
number,
and
is
the
sum
of
all
the
ASCII
characters
transmitted
between
(and
including)
the
STX
and
ETX.
The
parity
bit
is
excluded
in
the
calculation
of
the
transmission
checksum.
Some
computer
systems
do
not
allow
you
to
control
what
characters
are
sent,
especially
at
the
end
of
a
line.
You
should
set
up
the
equipment
so
that
it
will
accept
a
dummy
value
of
0000
as
a
valid
checksum.
This
zero
checksum
is
a
way
of
disabling
the
transmission
checksum
while
still
keeping
within
the
JEDEC
format
rules.
ProMaster
2500
User
Manual
D-37

ABEL(tm) Version 2.00b JEDEC file for:P20R8
Large Memory Version
Created on: 09-Mar-87 04:45 PM
8-bit barrel shifter
EngineerI Data I/O Corp Redmond WA 10 Jan 1986*
QP24* QF2560*
L0000
1101111111111111111111111111101110111010
1101111111111111111111111011111110111001
1101111111111111111110111111111110110110
1101111111111111101111111111111110110101
1101111111111011111111111111111101111010
1101111110111111111111111111111101111001
1001101111111111111111111111111101110110
1001111111111111111111111111111101110101
1001111111111111111111111111101101110101
1101111111111111111111111111101110111010
1101111111111111111111111011111110111001
1101111111111111111110111111111110110110
1101111111111111101111111111111110110101
1101111111111011111111111111111101111010
1101111110111111111111111111111101111001
1001101111111111111111111111111101110110
1001111111111111111111111111111101110101
1001111111111111111111111111101101110101*
V0001 C1000000000N00HLLLLLLL1N*
V0002 C1000000000N01LHLLLLLL1N*
V0003 C1000000001N00LLHLLLLL1N*
V0004 C1000000001N01LLLHLLLL1N*
V0005 C1000000010N00LLLLHLLL1N*
V0006 C1000000010N01LLLLLHLL1N*
V0007 C1000000011N00LLLLLLHL1N*
V0008 C1000000011N01LLLLLLLH1N*
V0009 C0111111100N00LHHHHHHH1N*
V0010 C0111111100N01HLHHHHHH1N*
V0011 C0111111101N00HHLHHHHH1N*
V0012 C0111111101N01HHHLHHHH1N*
V0013 C0111111110N00HHHHLHHH1N*
V0014 C0111111110N01HHHHHLHH1N*
V0015 C0111111111N00HHHHHHLH1N*
V0016 C0111111111N01HHHHHHHL1N*
V0017 C0000000100N01HLLLLLLL1N*
V0018 C1111111000N01LHHHHHHH1N*
V0019 C0000000000N00HHHHHHHH0N*
V0020 C0000000000N10ZZZZZZZZ1N*
C1B20*
B8C0
Header
(comment area -
everything
preceeding
first * is
ignored)
Number of Pins (24)
and Number of Fuses (2560)
Fuse Address (0000)
Fuse States:
0 = intact
1 = blown
Test Vectors
Fuse Map Checksum
Transmission Checksum
0090-3
Vector
Number
Translation
Formats
JEDEC
Full
Format,
Code
91
The
full
JEDEC
format
consists
of
a
start-of-text
character
(STX),
various
fields,
an
end-of-text
character
(ETX),
and
a
transmission
checksum.
A
sample
JEDEC
transmission
sent
in
the
full
format
is
shown
in
Figure
D-18.
Each
of
the
fields
is
described
on
the
following
pages.
Figure
D-18
An
Example
of
JEDEC
Full
Format
D-38
ProMaster
2500
User
Manual

Translation
Formats
JEDEC
Field
Syntax
<field>
::
=
[<delimiter>]<field
identifler>{<field
character〉}'*'
<field
identifier>::=
'A'
|
C
|
'D'
|
F
|
'G'
|
K
|
'L'
|
'N'
|
P
|
qTrTstttvtx,
〈
reserved
identifier>::=
'B'
|
E
|
'H'
|
T
|
'J'
|
'M'
「
0'
|
'U'
|
'W'
1
,y,
।
Z
Following
the
design
specification
field
in
a
JEDEC
transmission
can
be
any
number
of
information
fields.
Each
of
the
JEDEC
fields
begins
with
a
character
that
identifies
what
type
of
field
it
is.
Fields
are
terminated
with
an
asterisk
character.
Multiple
character
identifiers
can
be
used
to
create
sub-fields
(i.e.,
Al,
A$,
or
AB3).
Although
they
are
not
required,
you
may
use
carriage
returns
(CR)
and
line
feeds
(LF)
to
improve
readability
of
the
data.
Field
Identifiers
Field
identifiers
which
are
currently
used
in
JEDEC
transmissions
are
shown
above
on
the
“field
identifiers
n
line.
The
“reserved
identifier
M
line
indicates
characters
not
currently
used
(reserved
for
future
use
as
field
identifiers).
JEDEC
field
identifiers
are
defined
as
follows:
A
Access
time
N
Note
field
B
*
O
*
C
Checksum
field
P
Pin
sequence
D
Device
type
Q
Value
field
E
*
R
Resulting
vector
field
F
Default
fuse
state
field
S
Starting
vector
G
Security
fuse
field
T
Test
cycles
H
*
U
*
I
*
V
Test
vector
field
J
*
w
*
K
Fuse
list
field
(hex
format)
X
Default
test
condition
L
Fuse
list
field
Y
*
M
*
Z
*
Device
Field
(D)
*
Reserved
for
future
use
Device
selection
by
this
field
is
not
supported
by
the
programmer.
It
has
been
replaced
by
the
QF
and
QP
fields
and
manual
selection
of
devices.
ProMaster
2500
User
Manual
D-39