252301 Issue 2.0 - 第24页
GEM Manual for DEK Printers Capabilities I ssue 2.0 June 9th, 2011 page 24 of 156 Communicating Enabled – Online Local Enabled – Online Rem ote Disabled Enabled – No Comm Enabled – Offline 5.2 Data Collec tion 5.2.1 Even…

GEM Manual for DEK Printers Capabilities
Issue 2.0 June 9th, 2011 page 23 of 156
Scenarios (continued):
Simultaneous attempts to establish communications:
Comments Host Equipment Comments
Host tries to establish
communications at same time.
S1F13 -->
S1F14 -->
<-- S1F13
<-- S1F14
[while] CRA not received send and wait.
[exit while]
Communicating state.
Host should reply anyway to avoid timeout.
State is still communicating.
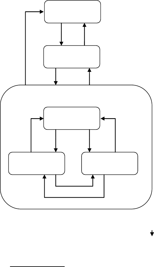
5.1.2 GEM communication Status
Printer module displays ‘Host Comms’ status on main screen. When GEM connection status
changed on printer, new status updated on main screen. Current status options are Disabled/
Enabled-No Comm/ Enabled-Comm.
When COMMS PROTOCOL preference value is set to NO COMMS.
Host Comms status will be “Disabled”.
When COMMS PROTOCOL preference value is set to GEM:
When No GEM enabled on printer:
Host Comms status will be “Disabled”.
When GEM enabled on printer:
When no communication established
Host Comms status will be “Enabled No Comm”
When Communication established with EQUIPMENT CONTROL “Equip Off-Line”.
Host Comms status will be “Enabled Off-Line”
When Communication established with EQUIPMENT CONTROL “Equip On-Line”.
When ON-LINE CONTROL set to LOCAL
Host Comms status will be “Enabled On-line Local”
When ON-LINE CONTROL set to REMOTE
Host Comms status will be “Enabled On-line Remote”

GEM Manual for DEK Printers Capabilities
Issue 2.0 June 9th, 2011 page 24 of 156
Communicating
Enabled –
Online Local
Enabled –
Online Remote
Disabled
Enabled – No
Comm
Enabled –
Offline
5.2 Data Collection
5.2.1 Event Reports
This capability enables the host to receive machine variable data when specific events
occur within the equipment. The host can control which events will cause a report to be
sent and which data items to include in a report (dynamic event configuration).
In addition, the operator can control which specific events are to be written to the
equipment’s local event log. The operator can also view the events enabled by the host.
Appendix B shows the operator procedures to achieve this.
The following outlines the steps that must be taken by the host system in order to cause
an event report to be sent. See chapter 5 for details of SECS II messages referred to as
SxxFxx.
The Host defines unique report with it’s own id. RPTID using S2F33. A report
includes one or more machine variables.
The Host links one or more reports to a collection event CEID using S2F35.
The Host enables collection event CEID with S2F37.
GEM Manual for DEK Printers Capabilities
Issue 2.0 June 9th, 2011 page 25 of 156
When event CEID occurs, the equipment sends event report S6F11, which
includes the report(s) RPTID. Multi-block reports are proceeded by a S6F5/F6
transaction.
The host may request event reports at other times using S6F15. However, care
should be taken not to request discrete data in this way, since the data may not
be valid at request time.
The reports defined by the Host and the Events enabled by the host are saved in
a file called “gem.cfg” and are loaded when the equipment powers up.